经管之家App
让优质教育人人可得
立即打开
全部版块
我的主页
›
论坛
›
计量经济学与统计论坛 五区
›
数据交流中心
›
数据求助
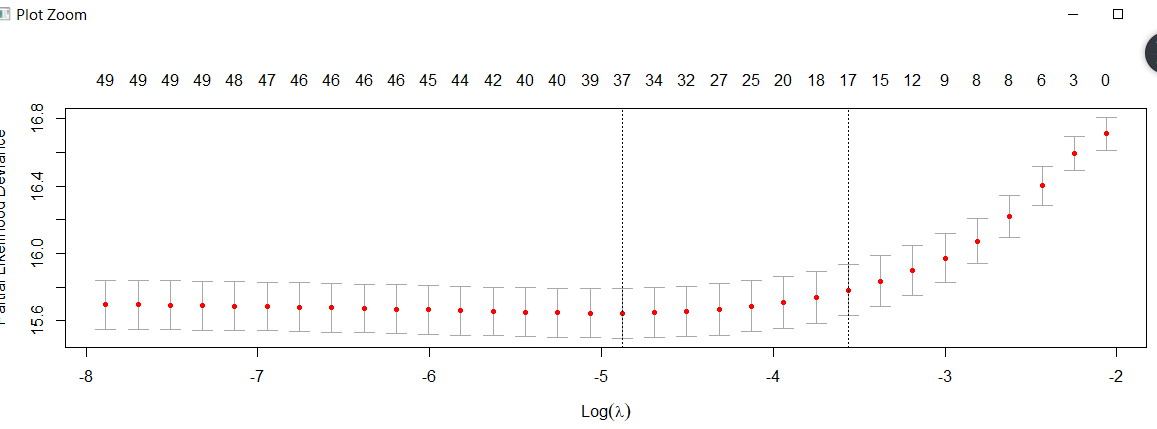
lasso筛出来的变量稍多,17个,求问各位大佬,有什么办法可以缩减吗?
楼主
一支葡萄糖
3247
3
收藏
2021-11-30
扫码加我 拉你入群
请注明:姓名-公司-职位
以便审核进群资格,未注明则拒绝
全部回复
沙发
猪大王
2021-12-8 12:23:55
先看筛选出来的变量是否有一定的可解释性,然后可以调节惩罚参数lamda比较结果,还可以使用不同的惩罚函数比较结果。
扫码加我 拉你入群
请注明:姓名-公司-职位
以便审核进群资格,未注明则拒绝
藤椅
江流宛转江流儿
2021-12-11 12:38:27
增大lambda的数值就可以,或者用LARS算法可以得到求解路径,根据你需要的变量个数选择对应的lambda即可,建议看下LARS那篇文献。
扫码加我 拉你入群
请注明:姓名-公司-职位
以便审核进群资格,未注明则拒绝
板凳
cicicrispy
2022-1-5 16:17:58
赞同2楼,如果17个变量都具有可解释性的话,不妨保留。如果你使用的是R语言中glmnet包做lasso回归的话,可以考虑多试试不同的type.measure(交叉验证时希望最小化的目标参量,比如MSE、AUC等等),再或者就是设置不同的
扫码加我 拉你入群
请注明:姓名-公司-职位
以便审核进群资格,未注明则拒绝
栏目导航
数据求助
制度经济学
学术道德监督
经管类求职与招聘
论文版
经管文库(原现金交易版)
热门文章
《那年2003:我双手插兜,搞钱不知什么叫对 ...
国家新纪元:人工智能时代的力量与优势
大势与抉择:关键趋势20讲(马江博)
CDA数据分析脱产就业班于2026年3月7日开班! ...
参数估计:CDA数据分析师的核心推断工具,用 ...
通用指标与场景指标:CDA数据分析师的核心分 ...
GeoSaaS永久会员版
全国国土利用现状、耕地、园地、林地分布等 ...
2024年合集 ESG评级数据大全(彭博 华证 Wi ...
脑机接口行业系列报告:Neuralink带来的启示 ...
推荐文章
2026JG学术冬训营:从Stata初高到Python机器 ...
【必看】【本版版规,欢迎发悬赏贴求助】
【新课】26年3月|Gemini辅助论文写作与数据 ...
关于如何利用文献的若干建议
关于学术研究和论文发表的一些建议
关于科研中如何学习基础知识的一些建议 (一 ...
一个自编的经济学建模小案例 --写给授课本科 ...
AI智能体赋能教学改革: 全国AI教育教学应用 ...
2025中国AIoT产业全景图谱报告-406页
关于文献求助的一些建议
说点什么
分享
微信
QQ空间
QQ
微博
扫码加好友,拉您进群
各岗位、行业、专业交流群