一、 应用背景
单样本_t_ 检验用于分析定量数据是否与某个数字有着显著的差异性,比如五级量表,3分代表中立态度,可以使用单样本_t_ 检验分析样本的态度是否明显不为中立状态;系统默认以0分进行对比。此案例分析某市12岁男孩身高与该地区12岁男孩平均身高有否差异?已知该地区12岁男孩平均身高为142.5cm。
二、SPSSAU操作
1.SPSSAU操作如下图:

SPSSAU仪表盘
2.将数据放入分析框中,SPSSAU系统生成独立样本_t_检验的分析结果,如下:

数据分析结果来源于SPSSAU
三、分析
分析结果解读以及计算公式:
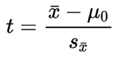
1._t_值

式中,
为平均值,此例中为143.048,
为已知总体均值或给定常数,案例中
=142.5;变量的样本均值为
是均值的标准误_;S_是变量的标准差,_n_为样本量;例:
;
2.结论
从上表可知,利用单样本_t_检验12岁男孩身高共1项是否明显的不等于数字142.5, 12岁男孩身高全部均不会表现出显著性(p>0.05),意味着12岁男孩身高共1项的平均值接近于数字142.5,没有统计意义上的差异性。
3.SPSSAU同时提供了深入分析:

(1)差值的95%置信区间=均值差值±_t_的临界值×标准误,式中,此例中t值临界值为1.98,
为标准误;例:
; ![[公式]](https://www.zhihu.com/equation?tex=0.548-1.98+%5Ctimes+%5Cfrac%7B5.821%7D%7B%5Csqrt%7B120%7D%7D%3D-0.504)
(2)如果显示呈现出显著性差异(p<0.05),可通过平均值对比具体差异,同时还可使用效应量(Effect size)研究差异幅度情况;
(3)使用Cohen’s d 值表示效应量大小(差异幅度大小),该值越大说明差异越大;
(4)单样本T检验使用Cohen’s d 值表示效应量大小时,效应量小、中、大的区分临界点分别是: 0.20、0.50和0.80;
(5)Cohen’s d 值计算公式为差值的绝对值/标准差。
4.SPSSAU具体操作如下:
(1)点击SPSSAU通用方法里面的‘单样本t检验’按钮。如下图:

(2) 拖拽数据后开始分析:

(可以输入对比数字,这里输入142.5)
四、参考文献
《SPSS统计分析(第五版)》