全部版块 我的主页
论坛 计量经济学与统计论坛 五区 数据交流中心 数据求助
1212 1
2022-01-09
初接触AMOS,有一些关于二阶变量分析的问题想请教一下各位大佬。<br>
已知:<br>
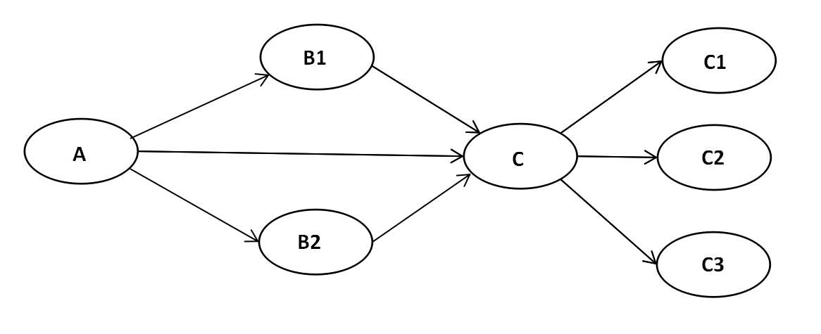
我的模型A→B→C,其中B是形成性指标(B1,B2),C是反映性指标(C1,C2,C3),画出来大概是图1的样子<br>
我想问:<br>
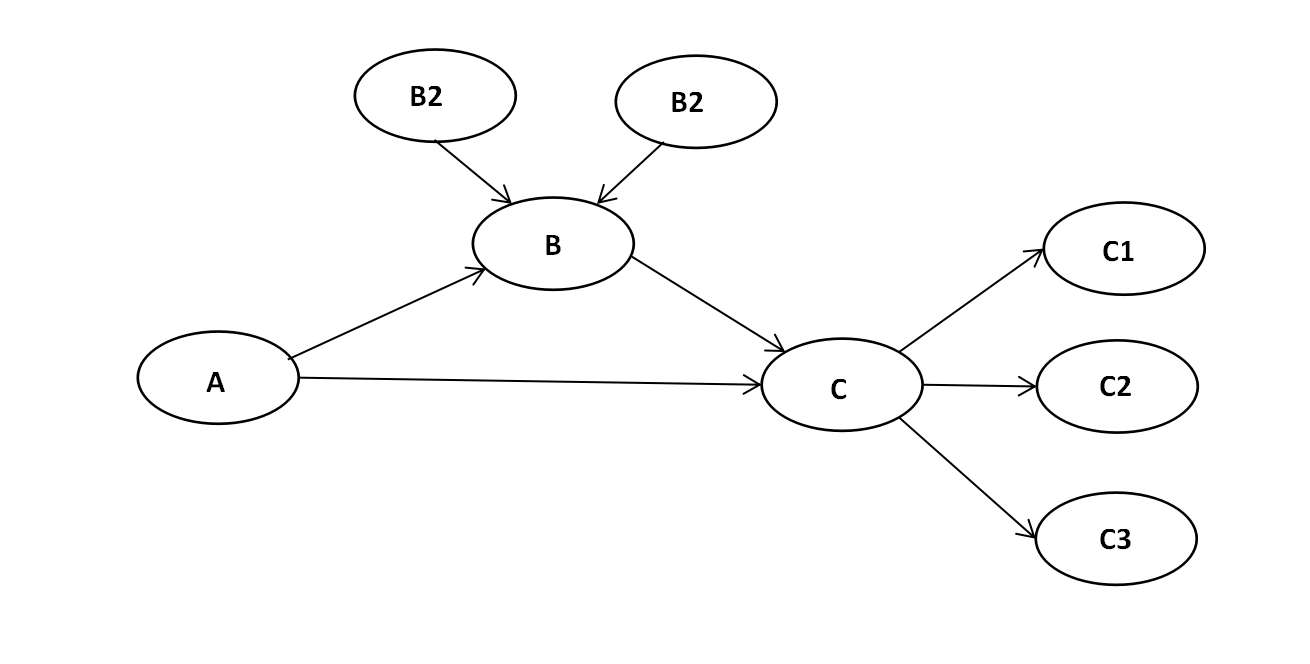
①我想在Amos画图2的模型,即把形成性指标B不做二阶变量,直接B1、B2变成两个一阶变量,但反应性指标做二阶变量,可以吗?<br>
②在AMOS做二阶变量有两种方法,一种是直接画图,还有一种是打包法,请问这两种方法应该怎么抉择?
1641694595234645.png 1641694595902834.png
二维码

扫码加我 拉你入群

请注明:姓名-公司-职位

以便审核进群资格,未注明则拒绝

全部回复
2022-1-9 11:19:02
Seagull555666 发表于 2022-1-9 10:16
初接触AMOS,有一些关于二阶变量分析的问题想请教一下各位大佬。<br>
已知:<br>
我的模型A→B→C, ...
自己顶一下
二维码

扫码加我 拉你入群

请注明:姓名-公司-职位

以便审核进群资格,未注明则拒绝

相关推荐
栏目导航
热门文章
推荐文章

说点什么

分享

扫码加好友,拉您进群
各岗位、行业、专业交流群