一、应用
灰色关联分析法通过研究数据关联性大小(母序列与特征序列之间的关联程度),通过关联度(即关联性大小)进行度量数据之间的关联程度,从而辅助决策的一种研究方法。
二、操作
SPSSAU操作
(1)点击SPSSAU综合评价里面的‘灰色关联分析’按钮。如下图

(2)拖拽数据后选择标准化方式最后点击开始分析

PS:若有需要拖拽数据时,不要忘记下方的参考值。

三、SPSSAU分析步骤

四、案例
背景
当前公司研究国内生产总值分别与第一产业,第二产业或者第三产业之间的灰色关联性情况,以研究出国内生产总值受哪个行业的影响更大。一共为2000~2005共6年的数据,国内生产总值为‘母序列’,第一产业,第二产业或者第三产业为‘特征序列’,本例子中已经确认好母序列和特征序列,并且准备好数据,标准化方式采用‘初值化’。部分数据如图所示:

五、分析
将数据放入分析框中,SPSSAU系统自动生成分析结果,如下:

计算公式
1.关联系数
(1)求初值化结果如下图所示:

简单来说就是一组数据中每个数据要除以第一个。例:2061/1988=1.037;以此类推。
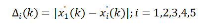
(2)求差序列

结果如下:

(PS:简单来说对于初值化后的表格第一列减第二列对应的数,第一列减第三列对应的数,以此类推,注意绝对值)
(3)求两极差

(4)求关联系数

一般取分辨系数
代入计算,最终得到关联系数结果。

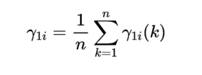
2.关联度

例:
;
六、总结
结合上述关联系数结果进行加权处理,最终得出关联度值,使用关联度值针对6个评价对象进行评价排序;
关联度值介于0~1之间,该值越大代表其与“参考值”(母序列)之间的相关性越强,也即意味着其评价越高。从上表可以看出:针对本次3个评价项,第三产业的综合评价最高(关联度为:0.830),其次是第二产业(关联度为:0.731)。