全部版块 我的主页
论坛 经济学论坛 三区 马克思主义经济学
2012-1-12 23:39:53

引入效用概念后的分析

       为上面这个模型引入效用概念,修改一下为生产农民和铁匠个人劳动力价值所消耗的产品,原来农民和铁匠都只消耗360公斤粮食,现在变成可自由选择粮食或铁器,但他们都有消费约束条件为360单位价值,他们选择粮食和铁器是遵守效用最大化原则,选择粮食x公斤和铁器y公斤的效用函数是 ,从而得到下面关于粮食x公斤和铁器y公斤的总效用曲线图。

总效用曲线.JPG

       该图中,接近水平、稍微向下倾斜的线是X轴,表示消费铁器数量;最右边斜向上的线是Y轴,表示的是消费粮食数量;最左边完全垂直的线是Z轴,表示的是总效用。

       再将该垂直于z轴进行水平切割,得到无差异曲线,见下图。该图中有25条无差异曲线,水平轴表示消费铁器数量,垂直轴表示的是消费粮食数量。

无差异曲线.JPG

       将效用函数代入到上面模型后,通过计算发现,铁器价值(因粮食价值已经确定是1单位)完全不由边际效用比决定,相反是铁器价值由模型中的生产函数决定,价值确定后再决定了边际比,最后确定了农民和铁器选择的数量。

       通过将效用函数代入到这个模型可以看到,价值由边际替代率决定是一个错误的观点,效用作为研究价值的概念没有任何意义,它的意义在于作为生活资料的价值确定后消费者如何选择。

二维码

扫码加我 拉你入群

请注明:姓名-公司-职位

以便审核进群资格,未注明则拒绝

2012-1-12 23:42:04
发现总效用函数的图没贴上,这里补。
总效用函数.JPG
二维码

扫码加我 拉你入群

请注明:姓名-公司-职位

以便审核进群资格,未注明则拒绝

2012-1-13 01:09:11
去年生产的铁器的价值,到今年怎么处理?假设今年铁器的劳动生产率提高了一倍
苹果价格上涨带动梨子价格上涨,用价值模型怎么处理?要不要发明一个水果的社会必要劳动时间概念啊,要不要发明一个全部商品的社会必要劳动时间概念啊
肿么办哦
二维码

扫码加我 拉你入群

请注明:姓名-公司-职位

以便审核进群资格,未注明则拒绝

2012-1-31 21:12:24
商品价值直接与当前生产力相关,所以过去生产的商品,在现在的价值,取决于现在的生产力。商品价值在时间上的变化,是因为生产力的变化。至于苹果、梨子的价格变化问题,后面会说到。这里先卖个关子,以保持该文章的节奏。
二维码

扫码加我 拉你入群

请注明:姓名-公司-职位

以便审核进群资格,未注明则拒绝

2012-1-31 21:59:46
引入共生商品概念后的分析

       所谓共生商品,就是在当前生产力条件下的社会再生产过程中,一次生产必然同时产生多种产品、且产品间数量构成正比函数关系的商品。现有的劳动力价值理论中对每个共生商品的价值确定问题无法提供解释,而只能解释所有共生商品的总价值。

       共生商品的价值确定问题,分2类情况,一是共生产品被用于同一个后一次生产过程,二是共生产品被用于不同的生产过程。

       第一类情况又分为3种情况。

       一是共生商品在下一次生产中同时作为生产要素被使用,且共生商品作为的生产资料之间数量关系与共生商品生产时的数量关系一致。这种情况下,共生商品不被人类当作为独立商品,而是被认为成一个统一的商品,比如泥与沙,被同时挖掘出来的比例就是被同时使用的比例,再比如一个螺丝和一个螺母,如果它们同时被生产也同时被使用,且前一次生产中作为产品和后一次生产中作为生产资料,其比例都是一比一,那么没人会去关心它们各自的价值,而只关心作为一个整体的共同价值,甚至每人认为一个螺丝是个单独的商品,而只认为一个螺丝加一个螺母才是一个商品。

       二是共生商品在下一次生产中同时作为生产要素被使用,且共生商品作为的生产要素之间数量关系与共生商品生产时的数量关系无关。这种情况下的社会生产最优化,隐含了一个默认的条件——共生商品在下一次生产过程中将被全部使用。比如农民既产粮也产稻杆,铁匠产铁时既额外消耗粮食也额外消耗稻杆,铁产量是一个关于粮食和稻杆的函数,这种情况下,可以通过计算分别得到粮食和稻杆的价值。

       三是一种特殊的情况,共生商品只作为生活资料被劳动者消耗,劳动者按照效用最大化原则选择共生商品的数量。在这种情况下会发现,共生商品全部被消耗、且共生商品间价值构成一定比例关系时,效用可达到最大化。也就是说在这种特定的情况下,边际替代率确定了商品的价值。从这里我们可以联想到,效用函数的效用最大化,实际上是生产函数的剩余价值率最大化这一客观规律在人类主观意识上的反映。我不知道该如何从数学上证明这一点。

       第二类分为2种情况。

       一是共生商品都是作为生产资料被用于不同的后一次生产过程,这种情况可以分别计算到共生商品的价值。

       二是共生商品中部分作为生产资料被用于后一次生产过程,另一部分作为生活资料被用于劳动力价值的创造。这种情况很特殊,我目前还未找到明确计算这种情况下的共生商品价值的办法。当然也不排除这种情况下,社会均衡生产状态不是唯一状态,而是一个关于某参数的曲线函数状态,在这个曲线上,社会生产都处于均衡状态。
二维码

扫码加我 拉你入群

请注明:姓名-公司-职位

以便审核进群资格,未注明则拒绝

2012-1-31 23:04:54
1、这里怎么没有劳动时间和劳动量?


2、如果把“剩余价值率”改为利润率尚可研究,但只要一牵扯“剩余价值率就不成立了。

没有劳动时间和劳动量怎么得来利润率?
二维码

扫码加我 拉你入群

请注明:姓名-公司-职位

以便审核进群资格,未注明则拒绝

2012-2-2 22:46:09
先回答一下上面网友的提问。因为前面已经假设了农民和铁匠在360单位社会必要劳动时间内需要消耗360公斤粮食,所以粮食的价值就是每公斤1单位社会必要劳动时间,接着通过2个生产函数计算出均衡状态下,在360单位社会必要劳动时间内,农民消耗36公斤铁器的生产资料后创造900公斤粮食,铁匠额外消耗360粮食的生产资料后创造90公斤铁器,剩余价值率为25%,铁器的价值为每公斤10单位社会必要劳动时间。

       对第二个问题我觉得没回答的必要,这位网友再考虑考虑。
二维码

扫码加我 拉你入群

请注明:姓名-公司-职位

以便审核进群资格,未注明则拒绝

2012-2-2 23:20:19
对二维生产函数的总结。

       从社会分工出现后,各分工生产的产品,其在全社会的分工方式和具体各分工生产的生产资料数量、产品产量,皆由生产力条件决定。当分工方式和分工生产的生产资料数量、产品产量确定后,各产品的价值和全社会的剩余价值率也就被决定。可以这样说,价值,是凝聚在分工生产的社会再生产品中的一般人类劳动,以抽象劳动时间为单位,社会再生产品的价值量由生产力决定,具体说就是由所有社会再生产过程的生产函数决定,社会再生产函数同时还决定了剩余价值率。

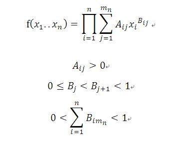
       二维生产函数是对社会再生产过程的最少概括,它抽象的表示了两大部类产品的生产情况,通过该二维生产函数可以计算到两大部类产品的价值和剩余价值率。下图中方程式(1)是二维生产函数的一般形式——剩余价值率方程式;方程式(2)是在第一部类产品价值假设为1情况下的第二部类产品的价值的一般形式;方程式(3)和(4)是计算均衡生产状态下的生产资料消耗数量,计算出的结果代入到方程式(1)和(2)中即可得到均衡生产状态下的剩余价值率和第二部类产品价值。

最基本全社会的社会再生产过程函数.JPG

说明:

       z是剩余价值率;

       n是单位社会必要劳动时间类的劳动力价值

       y是在第一部类产品生产过程中消耗的第二部类产品生产资料的数量

       a是第二部类产品的价值

       f(y)是第一部类产品的产量,因为假设第一部类产品价值为1,所以f(y)在数量上也就是第一部类产品生产过程创造的总价值

      x是在第二部类产品生产过程中消耗的第一部类产品生产资料的数量

       g(x)是第二部类产品的产量,g(x)*a在数量上就是第二部类产品生产过程创造的总价值

       f(y)`是f(y)的偏导函数。
二维码

扫码加我 拉你入群

请注明:姓名-公司-职位

以便审核进群资格,未注明则拒绝

2012-2-4 00:30:53
对二维生产函数的总结2——约束条件的证明

约束条件1:剩余价值率>0

       该约束条件是人类社会劳动范畴中“在人类社会的劳动过程中,创造出的成果多于消耗的物品”这一公理的引申。价值和剩余价值率都是人类社会劳动范畴下的分工劳动范畴中的概念,在分工劳动的社会再生产过程中,人类的劳动异化并凝聚在产品中持续不断的转移到下一次生产过程,由此产生了价值是抽象的一般人类劳动的概念。全社会产品数量上创造大于消耗,价值上创造多于消耗,多出来的价值就是剩余价值,多出来的价值比例就是剩余价值率,剩余价值率一定大于0。

约束条件2:每个生产过程中的边际产量都为正且递减

       该约束条件是人类社会劳动范畴中“边际产量为正且递减”这一定理在分工劳动范畴下的具体表现。人类社会劳动范畴中的“边际产量为正且递减”的证明方式为反证法,具体如下:

       如果社会再生产过程中其他生产要素不变前提下某生产要素越多,则产品产量增幅越大或等比例增加,即边际产量不递减,那就意味着其他生产要素需要量为0,但任何生产过程都必须有至少两种生产要素——劳动者和一种生产资料;如果社会再生产过程中其他生产要素不变前提下某生产要素越多,则产品产量不增加即边际产量不为正,就意味着该生产要素需要量为0,最终也会导向该生产过程只需要一个生产要素的结论。

       因为边际产量为正且递减,所以可以将社会再生产过程用生产函数来表示,输入参数为单位劳动者在生产过程中使用的生产资料,输出结果为单位劳动者创造的新产品。

       在分工劳动的范畴下,最少概括为两大部类产品分工生产的全社会的社会再生产过程,可以得到两个生产过程的1+剩余价值率的函数,而这两个函数相等,就得到了最终的二维生产函数的一般表达格式。在这个一般表达格式中,可以计算出该社会的两大部类产品的价值比、剩余价值率,以及在两大部类生产过程中的生产资料消耗数量和产量。

二维码

扫码加我 拉你入群

请注明:姓名-公司-职位

以便审核进群资格,未注明则拒绝

2012-2-9 00:25:20
这篇文章的价值篇到了最后一贴——从抽象到具体,后面将进入价格篇,最后是信用篇。

       从抽象的二维生产函数方程式,进入到具体,就是提出生产函数的一般形式,和N维生产函数方程式的一般形式。

       生产函数一般格式.JPG

N维生产函数方程式一般格式.JPG

       在N维生产函数方程式中,对z的每个等式的每个参数都求导使之等于0,得到的等式,再结合z的所有等式,可以联立求解。求解的证明需要使用到群论,在群论中可以证明这个群为可解群。

二维码

扫码加我 拉你入群

请注明:姓名-公司-职位

以便审核进群资格,未注明则拒绝

栏目导航
热门文章
推荐文章

说点什么

分享

扫码加好友,拉您进群
各岗位、行业、专业交流群