jackloo 发表于 2011-5-11 21:35
“精忠岳飞”网友,还请基本阅读一下再评论可否?估计你没看到我说的1单位量大米的价值为1单位量价值,才会认为我是在异物加总。
还有在6、7楼中你试图想用你认为的“行业利润率与行业生产效率无关”来反驳我的什么观点?可我并没有提到这些内容啊,只在2个模型中提到了2个观点,一是假设每个生产体的生产要素价值、劳动力价值之和都相等、剩余价值率也相等的情况下,科学家的人口比例只与剩余价值率有关,二是当某个行业的剩余价值率固定不变时,无论其他行业剩余价值率有多大或多小,整个社会剩余价值率的最大值将与该行业的剩余价值率和行业人口比例有关。
还有你在8楼的问题,你还是没看到我之前已经写过,在这个模型中大米是一般等价物。
jackloo 发表于 2011-5-11 21:35
“精忠岳飞”网友,还请基本阅读一下再评论可否?估计你没看到我说的1单位量大米的价值为1单位量价值,才会认为我是在异物加总。
还有在6、7楼中你试图想用你认为的“行业利润率与行业生产效率无关”来反驳我的什么观点?可我并没有提到这些内容啊,只在2个模型中提到了2个观点,一是假设每个生产体的生产要素价值、劳动力价值之和都相等、剩余价值率也相等的情况下,科学家的人口比例只与剩余价值率有关,二是当某个行业的剩余价值率固定不变时,无论其他行业剩余价值率有多大或多小,整个社会剩余价值率的最大值将与该行业的剩余价值率和行业人口比例有关。
还有你在8楼的问题,你还是没看到我之前已经写过,在这个模型中大米是一般等价物。
jackloo 发表于 2011-5-14 21:57
既然说了是劳动价值理论指导下的建模,价值当然是由社会必要劳动时间决定。
我有些明白“精忠岳飞”问的点在哪里。首先在同一生产力条件下,任何2个不同质商品的价值是可以求和的,原因很简单,1小时社会必要劳动时间加1小时社会必要劳动时间自然等于2小时社会必要劳动时间,“精忠岳飞”网友认为,若以2个不同生产力条件下社会必要劳动时间值总量相等为条件,那么2个生产力下的价值总量就相等。其实这样建立起来的劳动价值理论也是能说得通的,你的理解方法与我的理解方法的不同是关于一个等式的理解差异:投入的价值乘以1加剩余价值率等于新产品的价值,由于生产过程是在持续不断、循环不断的进行,前一次生产结束,后一次相同生产过程的生产又开始进行。你是认为在前一次生产完成后,后一次生产投入的价值变小,新产品的价值不变,而我是认为投入的价值不变,新产品的价值增加。2种方式实际上都能说得通,但我的这一种方式更容易理解。至于你最后说到的“量”的守恒,我完全无法理解。
再修改一下模型,将农民与铁匠的产量都引入边际产量递减函数。
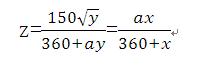
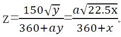
假设农民每年自身消耗粮食360公斤,另消耗铁器y公斤,生产粮食150*Sqrt(y)公斤,铁匠每年自身消耗粮食360公斤,另消耗粮食x公斤,生产铁器Sqrt(22.5*x)公斤。
在这个模型中分别计算农民和铁匠的(1+剩余价值率),两个数值相等,再对X和Y求导计算剩余价值率最大时的X值和Y值,计算得到当X=360,Y=36时(1+剩余价值率)最大=1.25。
计算过程如下(a是铁器价值):
计算得到:
将a代入到z的方程中即可得到z(1+剩余价值率)的关于铁匠额外消耗粮食x数量和农民额外消耗铁器y数量的函数(见下图)。
将z(x,y)函数分别对x和y求偏导,并使结果等于0即可计算得到z的极值,即当前生产力条件下均衡状态下的1+剩余价值率,得到以下2个等式:
第一个等式可以得到x = 360。
将x代入第二个等式,求得y=36,进而求得a=10和z=1.25。
另外对上图做个解释,因为不太会做图,图中没表示出来的只能这里文字说明了。
接近水平、稍微向下倾斜的线是X轴,表示农民消耗铁器数量;最左边完全垂直的线是Z轴,表示的是(1+剩余价值率);最右边倾斜的线是Y轴,表示的是铁匠消耗粮食数量。这个图是一个XYZ轴的三维曲线图,该三维曲线在Z轴上的最高点是X=36, Y=360, Z=1.25。
一旦农民的生产函数是F(X)=150*sqrt(X),铁匠的生产函数是G(Y)=sqrt(22.5*Y),那么社会生产会自动调整到农民消耗36公斤铁器生产900公斤粮食、铁匠消耗360公斤粮食生产90公斤铁器的均衡生产状态,在这个状态下,剩余价值率为25%,铁器价值为10。上图中除该均衡点外的其他任何点的生产状态都不是均衡状态,都会自动的向均衡点移动,除非生产函数发生改变(即生产力条件发生变化)。
将z(1+剩余价值率)函数分别对x和对y求偏导,然后将2个函数相除,也就是计算对铁匠额外消耗粮食x和农民额外消耗铁器y的边际剩余价值率之比:
该图中,接近水平、稍微向下倾斜的线是X轴,表示农民消耗铁器数量;最右边斜向上的线是Y轴,表示的是铁匠消耗粮食数量;最左边完全垂直的线是Z轴,表示的是边际剩余价值率之比。
在该图中,当y = 时,边际剩余价值率之比趋向于无穷,y < 时为负无穷,y > 时为正无穷;当x=360时,边际剩余价值率之比为0,但除了y=36这个点是无穷外。
从这个图可以看出,对消耗粮食数量x、铁器数量y的边际剩余价值率之比与粮食、铁器价值之比之间,没有直接的联系。
换个角度来观察这个图(见下图),考察在这种生产力条件下,处于各种不同剩余价值率下的铁匠消耗粮食数量x与农民消耗铁器数量y之间的关系。根据(1+剩余价值率)函数,可以得到:
该图是将剩余价值率图垂直于z轴进行水平切割,切割一次就得到一个剩余价值率相同情况下的铁匠消耗粮食数量x与农民消耗铁器数量y之间的关系线图,将很多次切割得到的xy关系图全部映射在xy平面上,就得到该图。在该图中,(1.21-1.2)/△x和(1.21-1.2)/△y,表示1.21和1.2这2个剩余价值率之间的边际剩余价值率。根据前面的计算知道,边际剩余价值率之比与铁器粮食价值之比之间没有直接的联系。
另外该图最上方中间位置有个点(该图中是个“+”号),这个点就是1+剩余价值率=1.25的点,它之所以是点而不同于其他是线的原因是,当1+剩余价值率=1.25时,铁匠消耗粮食数量x只能等于360公斤,农民消耗铁器数量y也只能等于36公斤,这是该生产力条件下均衡生产的唯一状态。
扫码加好友,拉您进群



收藏
