经管之家App
让优质教育人人可得
立即打开
全部版块
我的主页
›
论坛
›
数据科学与人工智能
›
数据分析与数据科学
›
R语言论坛
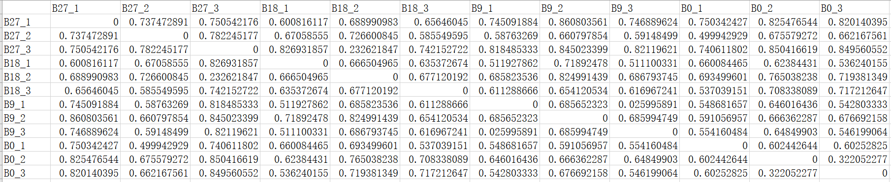
求助R语言画聚合类树状图怎么修改下面的标签
楼主
zcr111
4273
2
收藏
2022-03-12
扫码加我 拉你入群
请注明:姓名-公司-职位
以便审核进群资格,未注明则拒绝
全部回复
沙发
zcr111
2022-3-12 21:54:20
就是把数字1-12换成我数据的第一行名字
扫码加我 拉你入群
请注明:姓名-公司-职位
以便审核进群资格,未注明则拒绝
藤椅
小麦呀
2022-5-30 10:20:56
zcr111 发表于 2022-3-12 21:54
就是把数字1-12换成我数据的第一行名字
你要把这个名字通过转换变成行名称。
因为现在树状图下面的都是数字行名, 转换之后就变成你想要的行名称在树状图下面了。
扫码加我 拉你入群
请注明:姓名-公司-职位
以便审核进群资格,未注明则拒绝
相关推荐
求助R语言,急急急
求助R语言小程序
求助R语言读取网页的乱码问题
求助R语言出现的问题
求助R语言做相关性图
求助R语言中如何在向量中等距离插入数据
求助r语言如何去除英文停用词字符
求助R语言比对两组数据相同
求助R语言!
求助R语言中为啥太小的数据会被认为是NA
栏目导航
R语言论坛
麦田创投
会计与财务管理
MATLAB等数学软件专版
求助成功区
世界经济与国际贸易
热门文章
【重磅权威】2000-2024年上市公司人力资本流 ...
求助英文文献一篇
我该如何记住你?智能体记忆系统的演化之路
CDA数据分析脱产就业班于2026年3月7日开班! ...
表格结构数据的核心特征及具象实例解析
伍德里奇计量经济学导论第六版教材PDF
2026年Agent领域十大趋势判断
湖南统计年鉴2025(Excel版)
中外历史年代对照表
高效办公—Word零基础教程
推荐文章
2026JG学术冬训营:从Stata初高到Python机器 ...
【必看】【本版版规,欢迎发悬赏贴求助】
26年寒假天津站|Gemini论文写作&数据分析 ...
关于如何利用文献的若干建议
关于学术研究和论文发表的一些建议
关于科研中如何学习基础知识的一些建议 (一 ...
一个自编的经济学建模小案例 --写给授课本科 ...
AI智能体赋能教学改革: 全国AI教育教学应用 ...
2025中国AIoT产业全景图谱报告-406页
关于文献求助的一些建议
说点什么
分享
微信
QQ空间
QQ
微博
扫码加好友,拉您进群
各岗位、行业、专业交流群