全部版块 我的主页
论坛 提问 悬赏 求职 新闻 读书 功能一区 经管文库(原现金交易版)
1025 0
2022-03-14
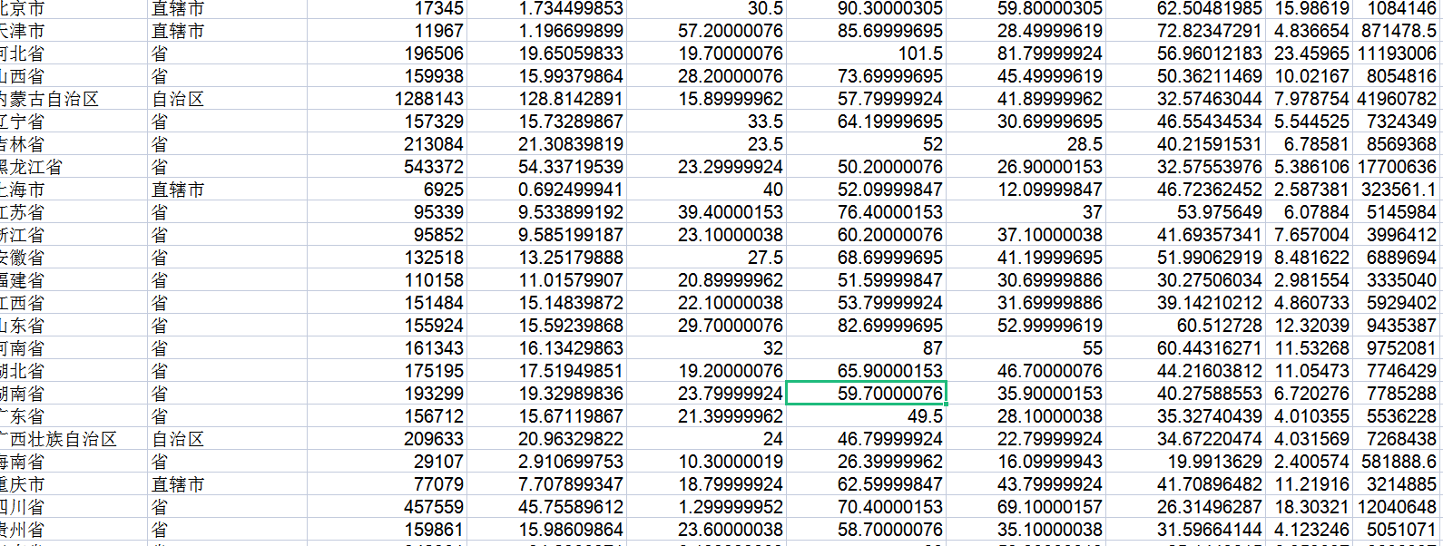
分省市县pm2.5数据值【1998-2020年】
数据介绍:
数据来源:源数据来自于大气成分分析组

区域范围:各省、各地市、各区县
指标说明:根据Global/Regional Estimates (V5.GL.02),计算出国内PM2.5数据(单位:微克/立方米)
包含数据:各省 PM2.5 浓度面板数据、300多个地级市PM2.5 浓度面板数据、2800多个区县PM2.5 浓度面板数据

数据指标:名称、COUNT、区域面积、PM2.5最低值、PM2.5最高值、PM2.5范围、PM2.5均值、PM2.5方差、PM2.5年度总值

部分数据展示:
9876.png

987.png
附件列表

分省市县pm2.5数据值【1998-2020年】

大小:76 Bytes

只需: RMB 23 元  马上下载

二维码

扫码加我 拉你入群

请注明:姓名-公司-职位

以便审核进群资格,未注明则拒绝

相关推荐
栏目导航
热门文章
推荐文章

说点什么

分享

扫码加好友,拉您进群
各岗位、行业、专业交流群