经管之家App
让优质教育人人可得
立即打开
全部版块
我的主页
›
论坛
›
数据科学与人工智能
›
数据分析与数据科学
›
R语言论坛
无穷移动平均中的系数怎么确定的?
楼主
superhugo
1757
1
收藏
2011-05-12
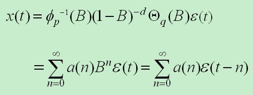
将时间序列x(t)写成无穷移动平均的形式,见附件。请问下其中的系数a(n)应该如何确定?看形式应该和前面的三项有关。具体应该怎么求呢?
扫码加我 拉你入群
请注明:姓名-公司-职位
以便审核进群资格,未注明则拒绝
全部回复
沙发
crystal8832
2016-8-2 20:58:20
无穷解的MA可以转换为有限阶的AR,不然无限阶的是没有办法估计的吧
扫码加我 拉你入群
请注明:姓名-公司-职位
以便审核进群资格,未注明则拒绝
相关推荐
移动平均标准差
移动平均标准差计算公式
关于时间序列的问题
时间序列
求讲解移动平均算法
5项简单移动平均的首末端补值方法
移动平均模型
时间序列数据有季节趋势,想问一下是先进行差分,将数据变平稳,还是先移动平均?
时间序列图
移动平均预测法
栏目导航
R语言论坛
文献求助专区
微观经济学
计量经济学与统计软件
休闲灌水
基金与课题申请
热门文章
CDA数据分析脱产就业班于2026年3月7日开班! ...
Measure Theory for Analysis and Probabil ...
2025中国可持续消费报告
现代数学基础19 偏微分方程 孔德兴
科研时间70%耗在“下载-复制-粘贴”?零代码 ...
精准匹配,菁英相伴--经管之家单身俱乐部, ...
CDA数据分析师:商业数据分析实践的核心执行 ...
我该如何记住你?智能体记忆系统的演化之路
CDA 认证考试大纲 2025 重磅更新:一二级考 ...
Stata 19.0 Win 安装文件
推荐文章
2026JG学术冬训营:从Stata初高到Python机器 ...
【必看】【本版版规,欢迎发悬赏贴求助】
26年寒假天津站|Gemini论文写作&数据分析 ...
关于如何利用文献的若干建议
关于学术研究和论文发表的一些建议
关于科研中如何学习基础知识的一些建议 (一 ...
一个自编的经济学建模小案例 --写给授课本科 ...
AI智能体赋能教学改革: 全国AI教育教学应用 ...
2025中国AIoT产业全景图谱报告-406页
关于文献求助的一些建议
说点什么
分享
微信
QQ空间
QQ
微博
扫码加好友,拉您进群
各岗位、行业、专业交流群