全部版块 我的主页
论坛 提问 悬赏 求职 新闻 读书 功能一区 经管百科 爱问频道
5996 0
2022-04-11
双侧检验,就是指当统计分析的目的是要检验样本平均数和总体平均数,或样本成数有没有显著差异,而不问差异的方向是否是正差还是负差时,所采用的一种统计检验方法。

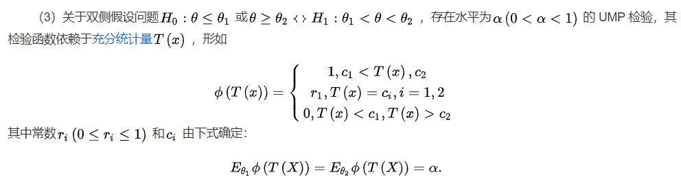
单参数假设检验问题
QQ截图20220411154546.png
称为双侧假设检验问题(two-sided hypothesis test problem)。
QQ截图20220411155021.png QQ截图20220411155028.png



不能根据专业知识判断两种结果谁高谁低时,采用双侧检验。
如果检验的目的是检验抽样的样本统计量与假设参数的差数是否过大(无论是正方向还是负方向),就把风险平分在右侧和左侧。比如显著性水平为0.05,即概率曲线左右两侧各占一半,即0.025。



二维码

扫码加我 拉你入群

请注明:姓名-公司-职位

以便审核进群资格,未注明则拒绝

相关推荐
栏目导航
热门文章
推荐文章

说点什么

分享

扫码加好友,拉您进群
各岗位、行业、专业交流群