全部版块 我的主页
论坛 提问 悬赏 求职 新闻 读书 功能一区 经管文库(原现金交易版)
2697 0
2022-04-29
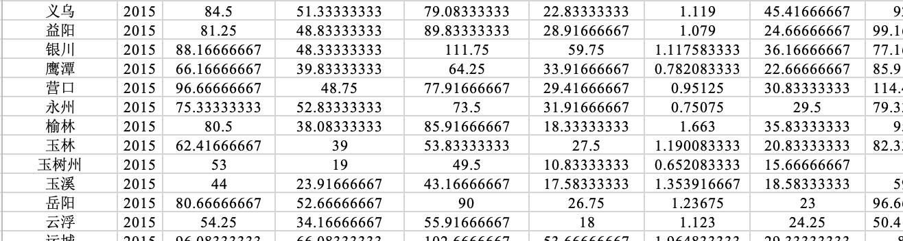
2013年—2021年全国城市空气质量年度数据

数据名称:全国城市空气质量年度数据
数据年份:2013-2021
数据用途:衡量各地区空气质量、环境污染水平
数据说明:2013年覆盖200个左右城市,其余年份覆盖城市达到330+
数据变量:城市、年份、平均值项:AQI、平均值项:PM2.5、平均值项:PM10、平均值项:SO2、平均值项:CO、平均值项:NO2、平均值项:O3
数据截图:

1.png
附件列表

地级市AQI数据.xlsx

大小:214.59 KB

只需: RMB 69 元  马上下载

二维码

扫码加我 拉你入群

请注明:姓名-公司-职位

以便审核进群资格,未注明则拒绝

相关推荐
栏目导航
热门文章
推荐文章

说点什么

分享

扫码加好友,拉您进群
各岗位、行业、专业交流群