经管之家App
让优质教育人人可得
立即打开
全部版块
我的主页
›
论坛
›
提问 悬赏 求职 新闻 读书 功能一区
›
经管百科
›
爱问频道
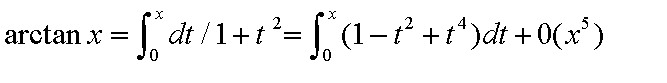
关于皮亚诺余项的一道题
楼主
qilinan
3788
3
收藏
2011-05-16
原题是:求arctanx带皮亚诺余项的五阶麦克劳林公式。但是我不懂的是答案是怎么出来的
扫码加我 拉你入群
请注明:姓名-公司-职位
以便审核进群资格,未注明则拒绝
全部回复
沙发
dwyanewade
2011-5-16 22:25:06
这不是已经出来了吗?对1/1+x^2的泰勒公式求积分就好了啊
扫码加我 拉你入群
请注明:姓名-公司-职位
以便审核进群资格,未注明则拒绝
藤椅
245970245
2011-5-16 22:31:07
第一个等号就是两边同时求导数相等,而且让X=0,就得出来了。第二个等号就直接套公式了,设u=t的平方。就是对1/(1+u)展开(直接套公式就行了),展开后再把U=t的平方代入即可。
扫码加我 拉你入群
请注明:姓名-公司-职位
以便审核进群资格,未注明则拒绝
板凳
persempre
2011-5-16 23:16:36
第1个等号几乎是恒等式
第2个等号是对1/(1+t^2)做级数展开得到
扫码加我 拉你入群
请注明:姓名-公司-职位
以便审核进群资格,未注明则拒绝
相关推荐
最新英文版权威书《博客营销》!
[转帖]“李祥林公式”与金融海啸
[分享]财务分析工具和技术---麦克劳.希尔公司
[求助]请问stata里面哪个命令能计算麦克劳伦指数?
高数 原来可以这么诗意
【拉格朗日下有条数学分溪,汇成了解析几河。河边的麦克劳林里有颗线性代树~~~
从前有棵树,叫高数,树上挂了很多人~~~
关于IS/LM曲线交点为均衡点的证明
高数观点下的故事
[原创]基于C++编程:关于麦考劳伦级数
栏目导航
爱问频道
经管高考
经管文库(原现金交易版)
SPSS论坛
宏观经济学
金融类
热门文章
CDA数据分析师:以数据思维赋能企业管理,驱 ...
CDA全国考点信息一览(更新于2025年12月10日 ...
当AI遇见ML:高校教师如何借助AI与机器学习 ...
CDA 认证考试大纲 2025 重磅更新:一二级考 ...
CDA数据分析师实战:指标体系搭建的全流程方 ...
Essentials of Statistics for Research by ...
Navigating Qualitative Research: A Compr ...
2026年市场展望报告-机遇与挑战并存
2025年AI智能体的兴起:未来展望报告(英)
2026年全球投资展望报告:乘势而上(英)
推荐文章
12月武汉站|Deepseek辅助论文写作与数据分 ...
2026JG学术冬训营:从Stata初高到Python机器 ...
关于如何利用文献的若干建议
关于学术研究和论文发表的一些建议
关于科研中如何学习基础知识的一些建议 (一 ...
一个自编的经济学建模小案例 --写给授课本科 ...
AI智能体赋能教学改革: 全国AI教育教学应用 ...
2025中国AIoT产业全景图谱报告-406页
关于文献求助的一些建议
几种免费下载文献的方法----我的文献应助经
说点什么
分享
微信
QQ空间
QQ
微博
扫码加好友,拉您进群
各岗位、行业、专业交流群