经管之家App
让优质教育人人可得
立即打开
全部版块
我的主页
›
论坛
›
计量经济学与统计论坛 五区
›
计量经济学与统计软件
›
Stata专版
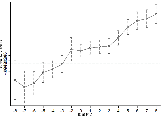
请问我的平行趋势检验通过了吗
楼主
wcyhktk
811
2
收藏
2022-05-08
谢谢大家!
附件列表
微信图片_20220508210017.png
原图尺寸 12.41 KB
结果图
扫码加我 拉你入群
请注明:姓名-公司-职位
以便审核进群资格,未注明则拒绝
全部回复
沙发
917968079
2022-5-10 12:44:56
wcyhktk 发表于 2022-5-8 21:08
谢谢大家!
不是很好,尤其是-2显著比较难办
扫码加我 拉你入群
请注明:姓名-公司-职位
以便审核进群资格,未注明则拒绝
藤椅
1923310016
2022-5-10 13:26:46
wcyhktk 发表于 2022-5-8 21:08
谢谢大家!
没过
扫码加我 拉你入群
请注明:姓名-公司-职位
以便审核进群资格,未注明则拒绝
栏目导航
Stata专版
经管文库(原现金交易版)
行业分析报告
金融实务版
CFA、CVA、FRM等金融考证论坛
新手入门区
热门文章
表格结构数据特征与CDA数据分析师:精准适配 ...
新宏观丨豆包,传统经济学与商学对全球性债 ...
几何(第五卷)[法] M. 贝尔热
几何(第四卷)[法] M. 贝尔热
奇瑞QQ焕新归来
CDA数据分析脱产就业班于2026年3月7日开班! ...
表格结构数据的核心特征及具象实例解析
湖南统计年鉴2025(Excel版)
中外历史年代对照表
高效办公—Word零基础教程
推荐文章
2026JG学术冬训营:从Stata初高到Python机器 ...
【必看】【本版版规,欢迎发悬赏贴求助】
26年寒假天津站|Gemini论文写作&数据分析 ...
关于如何利用文献的若干建议
关于学术研究和论文发表的一些建议
关于科研中如何学习基础知识的一些建议 (一 ...
一个自编的经济学建模小案例 --写给授课本科 ...
AI智能体赋能教学改革: 全国AI教育教学应用 ...
2025中国AIoT产业全景图谱报告-406页
关于文献求助的一些建议
说点什么
分享
微信
QQ空间
QQ
微博
扫码加好友,拉您进群
各岗位、行业、专业交流群