全部版块 我的主页
论坛 计量经济学与统计论坛 五区 计量经济学与统计软件 Stata专版
6096 19
2022-05-10
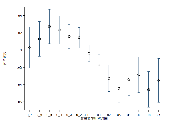
求问各位,请问我的多期DID平行趋势检验图,这算是通过了吗?是怎么判断的呀?

附件列表
3a6a17bae11e9a854e0e6499e74778d.png

原图尺寸 16.13 KB

平行趋势检验图

平行趋势检验图

二维码

扫码加我 拉你入群

请注明:姓名-公司-职位

以便审核进群资格,未注明则拒绝

全部回复
2022-5-10 22:28:04
没有通过
二维码

扫码加我 拉你入群

请注明:姓名-公司-职位

以便审核进群资格,未注明则拒绝

2022-5-10 22:32:04
低调牛奶草莓 发表于 2022-5-10 21:49
求问各位,请问我的多期DID平行趋势检验图,这算是通过了吗?是怎么判断的呀?
可以的,通过了
二维码

扫码加我 拉你入群

请注明:姓名-公司-职位

以便审核进群资格,未注明则拒绝

2022-5-11 05:58:21
这结果不好,政策实施前多数是正显著,说明政策前有正向效果。
二维码

扫码加我 拉你入群

请注明:姓名-公司-职位

以便审核进群资格,未注明则拒绝

2022-5-11 11:07:22
效果不好,政策前有显著差异,不满足平行趋势检验
二维码

扫码加我 拉你入群

请注明:姓名-公司-职位

以便审核进群资格,未注明则拒绝

2022-5-11 13:24:22
zdlspace 发表于 2022-5-11 05:58
这结果不好,政策实施前多数是正显著,说明政策前有正向效果。
这张图的实线表示的是90%的置信区间,我把它改成95%的置信区间后,政策冲击前都不显著了,那这算不算通过平行趋势检验呀?
二维码

扫码加我 拉你入群

请注明:姓名-公司-职位

以便审核进群资格,未注明则拒绝

点击查看更多内容…
相关推荐
栏目导航
热门文章
推荐文章

说点什么

分享

扫码加好友,拉您进群
各岗位、行业、专业交流群