全部版块 我的主页
论坛 提问 悬赏 求职 新闻 读书 功能一区 经管文库(原现金交易版)
1655 2
2022-05-16

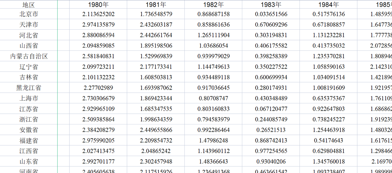
1949-2020年全国各省份全要素生产率


一、数据介绍

数据名称:全国各省份-全要素生产率

数据范围:31个省份  

数据年份:1949-2020年

数据说明:产出为实际GDP;投入要素为从业人员数、固定资产(永续盘存法)

二、参考文献

用途:衡量各省人力资本和物质资本的效率

[1]颜鹏飞,王兵.技术效率、技术进步与生产率增长:基于DEA的实证分析[J].经济研究,2004(12):55-65.

[2]章祥荪,贵斌威.我国全要素生产率分析:Malmquist指数法评述与应用[J].数量经济技术经济研究,2008(06):111-122.

[3]郭庆旺,赵志耘,贾俊雪.我国省份经济的全要素生产率分析[J].世界经济,2005(05):46-53+80.

1.png 2.png 3.png

附件列表
二维码

扫码加我 拉你入群

请注明:姓名-公司-职位

以便审核进群资格,未注明则拒绝

全部回复
2022-5-18 22:31:45
你好,请问是使用的什么方法算的
二维码

扫码加我 拉你入群

请注明:姓名-公司-职位

以便审核进群资格,未注明则拒绝

2022-6-7 15:19:50
你好,请问使用什么方法算的
二维码

扫码加我 拉你入群

请注明:姓名-公司-职位

以便审核进群资格,未注明则拒绝

相关推荐
栏目导航
热门文章
推荐文章

说点什么

分享

扫码加好友,拉您进群
各岗位、行业、专业交流群