全部版块 我的主页
论坛 提问 悬赏 求职 新闻 读书 功能一区 经管文库(原现金交易版)
1057 1
2022-05-23
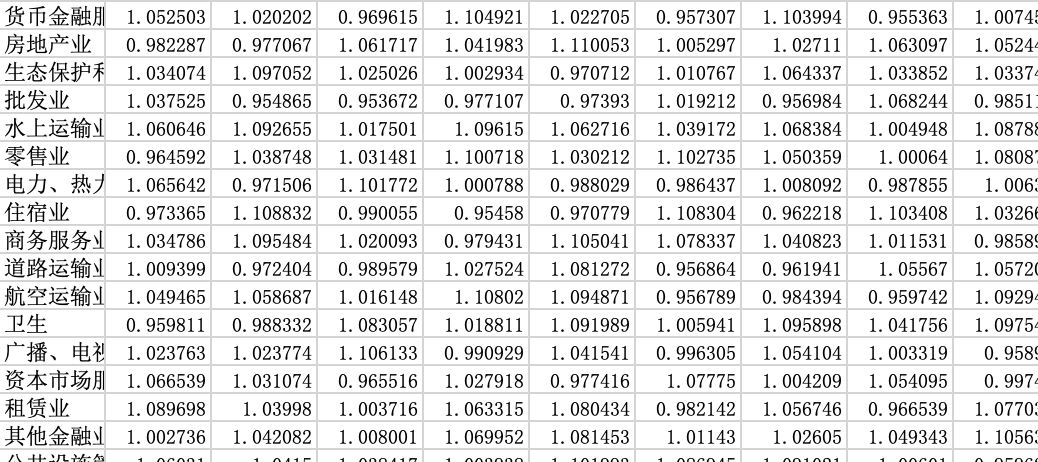
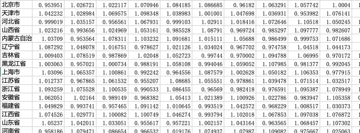
2000-2019年服务业绿色全要素生产率

时间跨度2000-2019年,中国31省份的省级面板数据,采用EBM-GML指数法计算,这套方法比EBM-ML和SBM-ML指数法要好,模型更前沿。
投入产出体系的期望产出为各省份服务业企业总产值;非期望产出为服务业污染(废水、废气、固体废弃物)排放总量;投入变量为各省份服务业企业固定资产、各省份服务业就业人员、各省份服务业能源消费总量。有关价格变量的数据,以2000年为基期进行了价格平减。


1.png 2.png
附件列表

服务业绿色全要素生产率.zip

大小:37.51 KB

只需: RMB 69 元  马上下载

二维码

扫码加我 拉你入群

请注明:姓名-公司-职位

以便审核进群资格,未注明则拒绝

全部回复
2022-5-23 13:53:43
2000-2019年服务业绿色全要素生产率
二维码

扫码加我 拉你入群

请注明:姓名-公司-职位

以便审核进群资格,未注明则拒绝

相关推荐
栏目导航
热门文章
推荐文章

说点什么

分享

扫码加好友,拉您进群
各岗位、行业、专业交流群