全部版块 我的主页
论坛 金融投资论坛 六区 保险精算与风险管理 风险管理
1921 2
2022-06-10

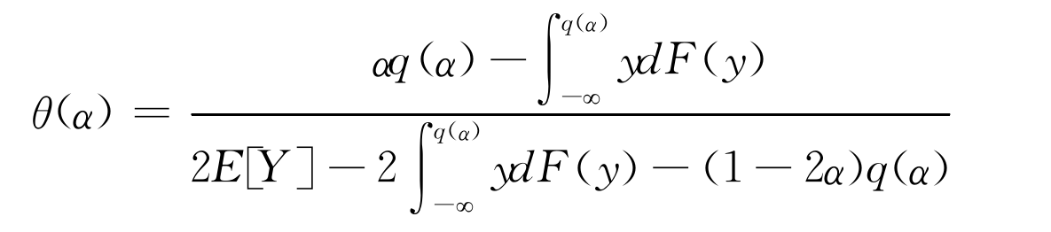
      最近在学习风险测度的有关内容,看到一个方法叫期望分位数回归。与传统风险度量指标VaR相比,这个方法计算出来的期望分位数EVaR指标,在很多方面都具有优越性,并且有研究表明期望分位数和分位数存在一一对应的关系。:

       这个公式在很多论文中出现,公式中Y表示分布未知的收益率序列,q表示分位数,α表示分位点,theta表示非对称参数,取值范围是(0,1)。
       我的问题是:我按照上式计算时,出现了非对称参数为负的情况。这是怎么回事呢?那位大神教教我
二维码

扫码加我 拉你入群

请注明:姓名-公司-职位

以便审核进群资格,未注明则拒绝

全部回复
2022-6-10 21:38:54
公式是这样的,不知道为啥没出来
附件列表
公式转换.png

原图尺寸 28.84 KB

公式是这样的,不知道为啥没出来

公式是这样的,不知道为啥没出来

公式转换.png

原图尺寸 28.84 KB

公式转换.png

二维码

扫码加我 拉你入群

请注明:姓名-公司-职位

以便审核进群资格,未注明则拒绝

2022-6-11 00:02:28
斑布都 发表于 2022-6-10 21:36
最近在学习风险测度的有关内容,看到一个方法叫期望分位数回归。与传统风险度量指标VaR相比,这个方 ...
感谢
二维码

扫码加我 拉你入群

请注明:姓名-公司-职位

以便审核进群资格,未注明则拒绝

相关推荐
栏目导航
热门文章
推荐文章

说点什么

分享

扫码加好友,拉您进群
各岗位、行业、专业交流群