经管之家App
让优质教育人人可得
立即打开
全部版块
我的主页
›
论坛
›
数据科学与人工智能
›
数据分析与数据科学
›
SPSS论坛
关于gamma累积分布函数的计算
楼主
落在秋天的叶
17418
1
收藏
2011-05-27
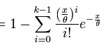
请教大家一个问题。我有一批数据服从gamma分布,我已经估计出其形状和尺度参数了。alpha=12.6333,beta=283.8934.我要计算它的累积分布函数(P(X<K))我在网上找到一个累积分布的解析式,这个解析式要求它的形状参数alpha为正整数?如果要求为正整数的话。alpha取12 计算出来的P(X<K)的值和已经给出的P(X<K)的值有一些误差 谢谢每个看帖和回答的人~
这个是F(X)的解析式!
附件列表
7O577)1TMPR2P3HYO2(3FZ2.jpg
原图尺寸 3 KB
扫码加我 拉你入群
请注明:姓名-公司-职位
以便审核进群资格,未注明则拒绝
全部回复
沙发
bakoll
2015-4-25 10:03:34
excel中直接计算
GAMMA.DIST(x,alpha,beta,cumulative)
GAMMA.DIST 函数语法具有下列参数:
X 必需。 用来计算分布的数值。
Alpha 必需。 分布参数。
Beta 必需。 分布参数。 如果 beta = 1,则 GAMMA.DIST 返回标准伽玛分布。
Cumulative 必需。 决定函数形式的逻辑值。 如果 cumulative 为 TRUE,则 GAMMA.DIST 返回累积分布函数;如果为 FALSE,则返回概率密度函数。
【论坛广邀专家,每日专人回答经管问题!遇到重要紧急的经管难题欢迎@“论坛答疑”客服专号站内ID,小二帮你快找专家+秒找答案。】
扫码加我 拉你入群
请注明:姓名-公司-职位
以便审核进群资格,未注明则拒绝
相关推荐
请教
[求助]累积分布函数的非参估计
如何画变量的累积分布函数
求矩母函数与累积分布函数相互转化公式?
如何画累积分布函数曲线
在线重赏求EGB2的累积分布函数
经验累积分布函数 标出四分位数,最大值,中值
已知F(x,y)有什么函数可以做这个联合累积分布函数的图吗。
用SPSS求累积分布函数
经验累积分布函数和累积分布函数有什么区别?
栏目导航
SPSS论坛
经管文库(原现金交易版)
计量经济学与统计软件
R语言论坛
文献求助专区
悬赏大厅
热门文章
CDA数据分析师:以数据思维赋能企业管理,驱 ...
CDA全国考点信息一览(更新于2025年12月10日 ...
企业级AI平台发展趋势报告(2026)
【24重磅,顶刊热点!】2001-2024上市公司大数 ...
当AI遇见ML:高校教师如何借助AI与机器学习 ...
CDA 认证考试大纲 2025 重磅更新:一二级考 ...
CDA数据分析师实战:指标体系搭建的全流程方 ...
Essentials of Statistics for Research by ...
Navigating Qualitative Research: A Compr ...
2026年市场展望报告-机遇与挑战并存
推荐文章
12月武汉站|Deepseek辅助论文写作与数据分 ...
2026JG学术冬训营:从Stata初高到Python机器 ...
关于如何利用文献的若干建议
关于学术研究和论文发表的一些建议
关于科研中如何学习基础知识的一些建议 (一 ...
一个自编的经济学建模小案例 --写给授课本科 ...
AI智能体赋能教学改革: 全国AI教育教学应用 ...
2025中国AIoT产业全景图谱报告-406页
关于文献求助的一些建议
几种免费下载文献的方法----我的文献应助经
说点什么
分享
微信
QQ空间
QQ
微博
扫码加好友,拉您进群
各岗位、行业、专业交流群