全部版块 我的主页
论坛 经济学论坛 三区 环境经济学
3330 4
2022-08-12


原文信息

Jia, Zhijie, and Boqiang Lin. "CEEEA2. 0 model: A dynamic CGE for energy-environment-economy analysis with available data and code." Energy Economics (2022): 106117.


一、引言

本文以碳税和能源税为例,分析碳中和约束下(2018-2060年)对能源、环境和经济的影响。模拟三种情况(BAU、CT和ET情景),分别为无碳约束情景、在碳中和的碳约束下对整个行业征收碳税的情景以及碳中和条件下对初级化石能源征收能源税的情景。模型包括以下特点:(1)碳税成本不再包含在国内产出的虚拟税收中,而是加入到不变替代弹性(CES)函数的特定值平衡方程中。(2)为所有反事实情景提供一个基准边界,使比较研究更加科学。(3)从实际能源消耗角度出发,参照IPCC的碳排放计算规则,计算各产业消费侧的碳排放。(4)不同情景下各个时期的国内生产总隐含排放、国内消费总隐含排放和贸易差额的净隐含排放。(5)企业生产结构在投入要素中包括一次能源和二次能源,而不仅仅局限于资本和劳动力。此外,还将资本禀赋分解为一般资本和专项资本。

二、SAM和能源数据

2.1.SAM的构建数据来源中国153个行业的2018年投入产出表。根据研究需要,模型将这些部门重新划分为21个部门。2.2.能量平衡数据利用《中国能源统计年鉴》,得到不同行业、不同能源的能源消费量。

三、模型框架

新模型基于GAMS软件,采用MCP求解器。该模型由六个板块组成:生产板块、收入与支出板块、贸易板块、能源环境板块、市场出清与宏观封闭板块和宏观指标板块。分为21个部门,两个家庭组,共3158有效方程和变量(以BAU场景为例)。将基于投入产出技术的隐含碳排放计算方法引入模型(Lin and Sun, 2010)。3.1.生产模块七层嵌套,除中间投入采用Leontief生产技术外,其余投入部分均为CES生产技术。除了传统的资本和劳动力,新模型能源投入结构见图1。

$NQ$RIJ204BE}%}V~)WFT`K.png

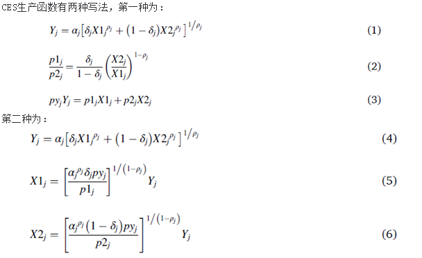
此外,能源和环境政策造成的政策成本不再包含在国内产出的虚拟税收中,而是加入到不变替代弹性(CES)函数的特定值平衡方程中。将资本分为一般资本和专项资本,并通过CES生产技术将两种资本进行聚合。本文暂定2018年一般资金和专项资金的初始比率为1:1。 MZIJ}U1Z%1FU382BH)VPTMN.png 两种写法是等价的,该模型在生产模块中使用了第一种写法,在贸易模块中使用第二种写法。3.2.收支模块描述居民、企业、政府和外国之间的现金流。居民需求函数是基于线性支出系统(LES)函数。3.3.贸易模块描述企业交易过程。引入阿明顿假设。通过CES和CET函数连接进口、出口和国内生产供国内消费。此外,进出口商品的价格都是以外币结算的。3.4.能源环境模块描述了企业的经济活动与能源、二氧化碳排放以及能源和环境政策带来的企业成本之间的关系。与一般的CGE模型相比,新模型基于CO2排放的权责关系,更精细地描述了能源相关CO2排放。3.5.市场出清和宏观闭合模块描述了市场出清的原则和宏观闭合的基本假设。新模式以新古典主义作为宏观封闭的首要条件。新模型假设劳动力市场与一般资本市场完全竞争,不存在失业和资本冗余。本文认为新古典主义的宏观闭合条件更适合分析长期模型,因为从长期来看,失业问题是稳定的。新古典主义假说比凯恩斯的假说更合适。3.6.宏观指标模块在新模型中加入了各种宏观指标的计算公式,以便更好地分析模型结果,包括隐含碳排放量、生产者价格指数(PPI)、居民消费价格指数(CPI)、可再生能源占比、电力消费占比、电力消费总量、能源消费总量和碳排放总量。3.7.模型正确性测试通过对产品市场设置瓦尔拉斯虚拟变量,检验模型是否正确。如果设置正确,瓦尔拉斯值应为0。此外,本文还通过不同的GDP核算方法验证了新模型的正确性。3.8.动态情景为了模拟技术的变化,模拟了这些动态参数的变化。在该情景下,GDP、碳排放和用电量为外生变量,c_TFP、c_AEEI、c_ELE为内生变量,校准这些动态参数。在正式情景中,GDP、碳排放和用电量为内生变量,c_TFP、c_AEEI和c_ELE为外生变量,用于模拟各时期的技术进步。此外,由于模型是基于新古典主义的宏观封闭,要素禀赋的变化也是经济增长的主要驱动力。与大多数 CGE 模型一样,除了上面介绍的技术进步外,本文还考虑了劳动力(通过假设的人口增长)和固定资产(通过永续盘存法)的变化。

四、不同的选项


4.1.效用函数S-G,CES,C-D,还是CDE ?和GTAP 标准模型(Corong et al., 2017)一样,我们也采用弹性常数差(CDE)系统。这样设置的好处是,产品消费的估计收入弹性和价格弹性有设置的余地,可以用现有文献中的收入弹性和价格弹性进行校准,更符合实际情况。4.2.凯恩斯还是新古典主义?本文建议在考虑长期模拟时,可以考虑使用新古典主义的宏观封闭,因为长期失业率很难设定合理的曲线,也很难设定合理的因子和劳动回报曲线。充分就业的直接假设也是相对客观的。而在模拟短期影响(或研究金融对就业的影响)时,可以(必须)使用凯恩斯的宏观闭合。4.3.弹性调整CES函数的弹性设置不是由模型本身决定的,而是由建模者外部给出的。因此,弹性设置一直受到很大的批评。本文的弹性集参考AIM/CGE2.0和Lou (2015)。

五、案例研究


5.1.能源资源税与碳税的比较本文假设政府在不同情景下具有共同的减排目标。政府可以不同的方式实现它,一种是通过碳税,另一种是通过能源税。5.2.情景假设设置了三种情景:基准情景(BAU)、碳约束下的碳税(CT)和碳约束下的能源(ET)。在 BAU 情景中,假设没有碳约束,并且可再生能源具有化石能源自然替代过程。在这样的情景下,假设2036年左右达到碳峰值,然后碳排放量将缓慢下降,到2060年碳排放量为8.49万亿吨。在CT情景下,假设中国将在2021年及以后开征化石能源碳排放税。在ET情景中,2021年至2060年期间对所有能源用户征收从价能源税。具体碳排放路径如图4所示。

TYN%VG~CFRQSYK%L2T96AFY.png 六、模型结果解释


6.1.模型检查图5结果表明,Walras 值基本在 0.00001 下波动,GDPCHK在0.00001以下波动,非常接近0,证实了正确性模型本身。

V1%]2UFI]F01AG9HU1Z0MJ5.png

7MDETIYK`LJ[IAUE[6T%W)S.png

6.2.结果解释6.2.1.碳税率中国碳/能源税税率不断提高(图 7)。2030年碳税税率为18元/吨,2060年碳税税率提高到822元/吨。822元/吨的碳税具有良好的减排效果。如果对一次化石能源征收能源税,到 2060年税率为82.8% 时,也可以达到同样的减排效果。

RAXK_L4JP)]J)3{87TS_OMF.png

6.2.2.GDP虽然碳/能源税政策可以显著减少碳排放,但也可能对经济产生负面影响。而且,随着时间的推移,这种负面影响可能会逐渐增加,结果见图8。

`%_WVS33}8%{3K)7@JRJT7T.png


6.2.3.贸易中二氧化碳排放量中国对贸易中的隐含二氧化碳排放量具有正值,2018年约有9.77亿吨二氧化碳排放量出口到其他国家(图9)。然而,由于消费和生产的持续变革,贸易中的隐含排放量将逐渐减少。

1_DT$_K0`WW%1PG@~QO57VV.png

6.2.4.一次能源结构碳税和能源税政策显著提高了可再生能源在能源结构中的比重(图 10)。碳税和能源税政策带来的能源结构改善,也有利于我国顺利开展碳减排。

@QE@$A9H[502V)LHHZDHYER.png

6.2.5.生产者价格指数

基于BAU情景下国内商品出厂价(不含税),我们计算了各行业每年的生产者价格指数(PPI)(图11)。结果表明,在CT情景下,大部分商品的价格都有一定程度的上涨,但煤炭、焦化、油气开采等行业的生产者价格将下降。

T~E0JO%FP~~]8{R1E47Z69F.png

6.2.6.消费者价格指数

与PPI相比,消费者价格指数(CPI)变化相对温和(图12)。

%HW0QZD8`$N5T7E]8U99ZBJ.png


七、结论


可计算一般均衡模型(CGE)是反事实分析的一个很好的工具,被广泛应用于能源和环境经济学。本文以碳税和能源税为例,分析了2018-2060年碳中和对中国的影响。与传统的CGE模型相比,本文更紧密地描述了能源和碳排放,将环境成本与贸易中隐含的碳排放更科学地结合到模型中,提供了新颖的反事实分析策略。此外,本文还介绍了如何对模型进行扩展和调整,以方便广大建模者根据不同的需求建立CGE模型。


———— / END / ————推文作者:王冰洁,西南财经大学财政税务学院博士研究生
本期编辑:高原

详细的CGE教程视频:

https://bbs.pinggu.org/thread-11068233-1-1.html

肖老师V:shugu2020


附件列表
T~E0JO%FP~~]8{R1E47Z69F.png

原图尺寸 126.74 KB

T~E0JO%FP~~]8{R1E47Z69F.png

二维码

扫码加我 拉你入群

请注明:姓名-公司-职位

以便审核进群资格,未注明则拒绝

全部回复
2022-8-14 20:27:51
二维码

扫码加我 拉你入群

请注明:姓名-公司-职位

以便审核进群资格,未注明则拒绝

2023-3-24 10:08:57
楼主,原文文件有吗?
二维码

扫码加我 拉你入群

请注明:姓名-公司-职位

以便审核进群资格,未注明则拒绝

2023-3-29 11:07:04
shiyigekeren 发表于 2023-3-24 10:08
楼主,原文文件有吗?
Jia, Zhijie, and Boqiang Lin. "CEEEA2. 0 model: A dynamic CGE for energy-environment-economy analysis with available data and code." Energy Economics (2022): 106117.
二维码

扫码加我 拉你入群

请注明:姓名-公司-职位

以便审核进群资格,未注明则拒绝

2025-1-3 21:56:25
请问代码和数据在哪里下载呢
二维码

扫码加我 拉你入群

请注明:姓名-公司-职位

以便审核进群资格,未注明则拒绝

相关推荐
栏目导航
热门文章
推荐文章

说点什么

分享

扫码加好友,拉您进群
各岗位、行业、专业交流群