全部版块 我的主页
论坛 计量经济学与统计论坛 五区 计量经济学与统计软件 Stata专版
1551 4
2022-08-27
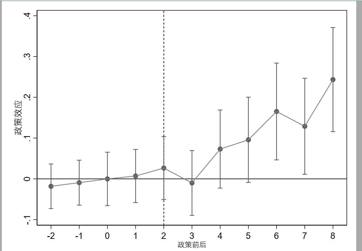
请问这个结果是通过还是没通过啊?还能继续做下去吗?
附件列表
111.jpg

原图尺寸 64.23 KB

111.jpg

二维码

扫码加我 拉你入群

请注明:姓名-公司-职位

以便审核进群资格,未注明则拒绝

全部回复
2022-8-29 20:21:42
就平行趋势而言,你的图是通过的,存在一点点趋势,但是并不影响,你可以通过控制时间趋势来进行剔除,作为一个稳健性检验。我想你真正要问的问题其实是从政策干预之后到出现显著的政策效应之间间隔了一段较长的时期,这就导致有人会质疑你的政策有效性。由于你的图画错了,我没法给出直接的建议,但是如果你的基准回归结果是显著的,那么你应该通过如下两条方式去验证你这张图的合理性:1.你需要检验在政策干预之后的一段时间里,是否有别的政策对实验产生了干扰,如果有,那么你的识别可能就会有问题,所以这里的关键在于你要论证清楚你的政策在实施之后没有其他同类型的政策再次产生作用。2.你可以argue说是因为处理后的观测期较长,导致每一期系数的statistical power较弱,所以政策的动态效应从图中难以体现,这样的话,你只需要论证政策存在一定的滞后效应即可。
二维码

扫码加我 拉你入群

请注明:姓名-公司-职位

以便审核进群资格,未注明则拒绝

2022-9-2 18:04:19
哥哥海哥哥 发表于 2022-8-29 20:21
就平行趋势而言,你的图是通过的,存在一点点趋势,但是并不影响,你可以通过控制时间趋势来进行剔除,作为 ...
好的谢谢谢谢,我还想问下就是稳健性检验中,我把政策提前推后两年但是结果还是很显著,那我的这个论文还能继续做下去吗?
二维码

扫码加我 拉你入群

请注明:姓名-公司-职位

以便审核进群资格,未注明则拒绝

2022-9-3 14:23:34
从图上来看应该不会显著吧,你提前两年肯定要把政策发生之后的时期删掉,不然肯定怎么做都显著。
还有论文能不能做下去取决于你选题的价值,而不是计量的细节。
二维码

扫码加我 拉你入群

请注明:姓名-公司-职位

以便审核进群资格,未注明则拒绝

2022-10-9 19:23:37
哥哥海哥哥 发表于 2022-8-29 20:21
就平行趋势而言,你的图是通过的,存在一点点趋势,但是并不影响,你可以通过控制时间趋势来进行剔除,作为 ...
如果是同时期有其他政策对结果产生影响了,那么这个平行趋势检验该怎么做
二维码

扫码加我 拉你入群

请注明:姓名-公司-职位

以便审核进群资格,未注明则拒绝

栏目导航
热门文章
推荐文章

说点什么

分享

扫码加好友,拉您进群
各岗位、行业、专业交流群