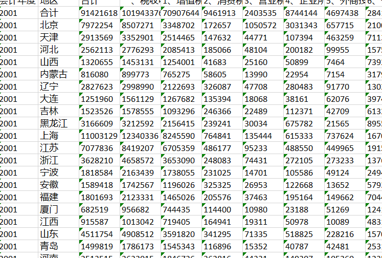
2001-2017国家税务局税收收入分税种分地区情况
| [会计年度] | 数据所属的会计年度 |
| [项目] | 项目 |
| [税收收入合计] | 单位:万元 |
| [增值税收入] | 单位:万元 |
| [一般纳税人] | 单位:万元 |
| [小规模纳税人] | 单位:万元 |
| [消费税收入] | 单位:万元 |
| [营业税] | 单位:万元 |
| [企业所得税] | 单位:万元 |
| [外商投资企业和外国企业所得税] | 单位:万元 |
| [个人所得税] | 单位:万元 |
| [资源税] | 单位:万元 |
| [固定资产投资方向调节税] | 单位:万元 |
| [城市维护建设税] | 单位:万元 |
| [房产和城市房地产税] | 单位:万元 |
| [印花税] | 单位:万元 |
| [城镇土地使用税] | 单位:万元 |
| [土地增值税] | 单位:万元 |
| [车船税] | 单位:万元 |
| [车辆购置税] | 单位:万元 |
| [屠宰税] | 单位:万元 |
| [筵席税] | 单位:万元 |
| [燃油税] | 单位:万元 |
| [耕地占用税] | 单位:万元 |
| [契税] | 单位:万元 |
| [其他各税] | 单位:万元 |