全部版块 我的主页
论坛 数据科学与人工智能 数据分析与数据科学 数据分析与数据挖掘
554 0
2022-10-26

语法

VAR(number1,[number2],...)


VAR 函数语法具有下列参数:


Number1 必需。 对应于总体样本的第一个数值参数。


Number2, ... 可选。 对应于总体样本的 2 到 255 个数值参数。


备注

VAR 假定其参数是总体样本。 如果数据代表整个总体,请使用 VARP 计算方差。


参数可以是数字或者是包含数字的名称、数组或引用。


逻辑值和直接键入到参数列表中代表数字的文本被计算在内。


如果参数是一个数组或引用,则只计算其中的数字。 数组或引用中的空白单元格、逻辑值、文本或错误值将被忽略。


如果参数为错误值或为不能转换为数字的文本,将会导致错误。


如果要使计算包含引用中的逻辑值和代表数字的文本,请使用 VARA 函数。


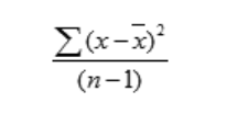
VAR 使用下面的公式:






其中 x 是样本平均值(数字1,数字 2,...) n 是样本大小。


二维码

扫码加我 拉你入群

请注明:姓名-公司-职位

以便审核进群资格,未注明则拒绝

栏目导航
热门文章
推荐文章

说点什么

分享

扫码加好友,拉您进群
各岗位、行业、专业交流群