全部版块 我的主页
论坛 计量经济学与统计论坛 五区 计量经济学与统计软件 Stata专版
2779 16
2022-12-29
平行.jpg
二维码

扫码加我 拉你入群

请注明:姓名-公司-职位

以便审核进群资格,未注明则拒绝

全部回复
2022-12-31 12:40:31
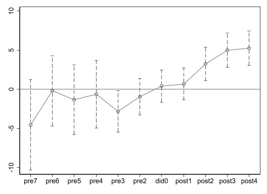
应该算吧,如果是post1时显著大于0就更好了,但考虑到可能是政策时滞效应
二维码

扫码加我 拉你入群

请注明:姓名-公司-职位

以便审核进群资格,未注明则拒绝

2022-12-31 13:05:14
pre3开始有比较明显的pre-trend,建议处理一下
二维码

扫码加我 拉你入群

请注明:姓名-公司-职位

以便审核进群资格,未注明则拒绝

2022-12-31 16:15:38
jnutt 发表于 2022-12-31 12:40
应该算吧,如果是post1时显著大于0就更好了,但考虑到可能是政策时滞效应
好的,谢谢。
二维码

扫码加我 拉你入群

请注明:姓名-公司-职位

以便审核进群资格,未注明则拒绝

2022-12-31 16:16:37
哥哥海哥哥 发表于 2022-12-31 13:05
pre3开始有比较明显的pre-trend,建议处理一下
你好,请问这种Pre3这种异常该怎么处理啊,我是按照写的代码来的,能教教我么,万分感谢
二维码

扫码加我 拉你入群

请注明:姓名-公司-职位

以便审核进群资格,未注明则拒绝

2022-12-31 18:25:55
现在指出这种传统平行趋势存在较为严重问题的文章已经很多了,没记错一位叫roth的理论计量学者做了很多工作,大致的意思是平行趋势检验是否显著完全不能排除存在pretrend,存在检验效力较低的问题,所以可以试试新方法进行检验。如果就着老方法说,我认为没啥问题,可以通过。
二维码

扫码加我 拉你入群

请注明:姓名-公司-职位

以便审核进群资格,未注明则拒绝

点击查看更多内容…
栏目导航
热门文章
推荐文章

说点什么

分享

扫码加好友,拉您进群
各岗位、行业、专业交流群