经管之家App
让优质教育人人可得
立即打开
全部版块
我的主页
›
论坛
›
提问 悬赏 求职 新闻 读书 功能一区
›
经管文库(原现金交易版)
五六七普人口数据整理-全国各省地级市人口基本情况人口数性别比Excel/Shp格式
楼主
千里鸟数据
1245
0
收藏
2023-01-04
五六七普
人口数据整理-全国各省地级市人口基本情况人口数性别比Excel/Shp格式
数据标签:人口数(总人口、男性人口、女性人口、性别比(女=100))、户籍人口、少数民族人口比重、非农业户口人口比重、城乡人口(城镇人口、乡村人口)、城市城区人口、家庭户(户数、人口数、户规模、其中:一人户)、家庭户类别(一代户、二代户、三代户、四代以上户)。
数据年份:
五普(2000年)、六普(2010年)、七普(2020年)
数据格式:
excel和shp两种格式
行政等级:
省份和地级市
两个等级
以下数据五六七普人口数据整理-省市两级人口基本情况(Excel/Shp格式)打包链接:
五六七普人口数据整理-省市两级人口基本情况(Excel:Shp格式).zip
大小:(84.86 MB)
只需: RMB 89元
马上下载
一、五普
五普人口数据整理-省市两级人口基本情况(Excel:Shp格式).zip
大小:(28.28 MB)
只需: RMB 39元
马上下载
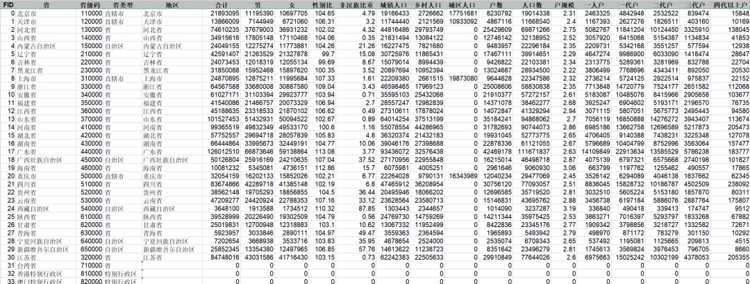
1、全国
各省份
人口基本情况表(excel格式)
以总人数指标为例来预览下shp格式的数据:
五普——全国各省的总人口数(shp格式):
2、五普
——
全国各
地级市
的人口基本情况表(excel格式)
以户籍人口数指标为例来预览下shp格式的数据:
五普
——
全国各地级市的户籍人口数(shp格式):
二、六普
六普人口数据整理-省市两级人口基本情况(Excel:Shp格式).zip
大小:(28.28 MB)
只需: RMB 39元
马上下载
1、全国
各省份
人口基本情况表(excel格式)
以总人数指标为例来预览下shp格式的数据:
六普——全国各省的总人口数(shp格式):
2、六普
——
全国各
地级市
的人口基本情况表(excel格式)
以乡村人口数指标为例来预览:
六普——全国各城市的乡村人口数(shp格式):
三、七普
七普人口数据整理-省市两级人口基本情况(Excel:Shp格式).zip
大小:(28.3 MB)
只需: RMB 39元
马上下载
1、全国
各省份
人口基本情况表(excel格式)
以女性人数指标为例来预览:
七普——全国各省份的女性人口数(shp格式):
2、七普
——
全国各
地级市
的人口基本情况表(excel格式)
以乡村人口数指标为例来预览:
七普——全国各城市的乡村人口数(shp格式):
扫码加我 拉你入群
请注明:姓名-公司-职位
以便审核进群资格,未注明则拒绝
相关推荐
全国各省区地图shp格式_中国地图shp格式
求指点:如何将Excel数据转换为shp格式,以便导入Geoda。
2017年文物保护单位POI数据集包分类、名称、年代地址经纬度数据Excel和shp格式文件
全国A级景区数据2022年
全国A级景区数据2022年全国A级景区数据2022年
各省、地级市-2020春运期间高德地图人口迁徙数据-excel、shp格式
全国历年高德POI数据
2019-1984全国各省地级市行政区域土地面积城市土地面板数据-Excel完整版
1984-2019全国各省地级市地方水运货运量总额面板数据-Excel完整版
2020年79500个风景名胜区点位数据,含excel格式和shp格式,精确到县区
栏目导航
经管文库
经管高考
世界经济与国际贸易
行业分析报告
stata专版
文献求助专区
热门文章
从“数字”到“数据”:CDA数据分析师视角下 ...
好书分享-《图灵的大教堂》
【行业报告】2026年第一季度行业热点分析报 ...
【热点DID,顶刊方法!】2002-2024我国地方ZF ...
OpenClaw+Claude Code丨从"手动科研"到 ...
CDA数据分析脱产就业班在2026年3月7日开班了 ...
从数据源头到商业洞察:CDA数据分析师视角下 ...
斯坦福2026报告:中国AI模型追上美国(英)-4 ...
2026年3月宏观经济数据分析
Token经济学全景报告
推荐文章
五一充电,学术突围!四大AI赋能王牌课程, ...
关于学术研究和论文发表的一些建议
几种免费下载文献的方法----我的文献应助经
【必看】【本版版规,欢迎发悬赏贴求助】
【新课】26年3月|Gemini辅助论文写作与数据 ...
关于如何利用文献的若干建议
关于科研中如何学习基础知识的一些建议 (一 ...
一个自编的经济学建模小案例 --写给授课本科 ...
AI智能体赋能教学改革: 全国AI教育教学应用 ...
2025中国AIoT产业全景图谱报告-406页
说点什么
分享
微信
QQ空间
QQ
微博
扫码加好友,拉您进群
各岗位、行业、专业交流群