经管之家App
让优质教育人人可得
立即打开
全部版块
我的主页
›
论坛
›
提问 悬赏 求职 新闻 读书 功能一区
›
悬赏大厅
Matlab解非线性最小二乘法
楼主
Enkar08042
544
1
收藏
2023-03-16
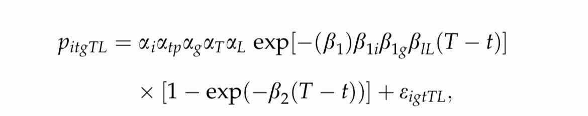
模型如图,自变量是T-t,其余都是待估参数,因为有些参数依赖于下标,所以一共有10个参数需要估计,我的数据量是4百万左右,请问应该怎样用Matlab 解呢?
扫码加我 拉你入群
请注明:姓名-公司-职位
以便审核进群资格,未注明则拒绝
全部回复
沙发
2023Hua
2023-3-26 19:15:00
https://bbs.pinggu.org/thread-8749326-1-1.html
扫码加我 拉你入群
请注明:姓名-公司-职位
以便审核进群资格,未注明则拒绝
相关推荐
下载]Matlab最小二乘法拟合笔记
如何用MATLAB进行最小二乘法参数估计?
Matlab最优化方程多元输入值可否定义?
收集的书,自己也没有注意去看Matlab相关书籍
函数编写
求教MATLAB大神函数调用的程序
罗华飞的《MATLAB GUI设计学习手记》电子书+源程序
FLS·最小灵活二乘法的MATLAB的代码,和最小二乘法的原理简介。
怎么用matlab做最小二乘法
MATLAB求解非线性最小二乘法拟合问题 源程序代码
栏目导航
悬赏大厅
经管文库(原现金交易版)
经管在职研
能源经济学
企业文化
系统动力学
热门文章
《那年2003:我双手插兜,搞钱不知什么叫对 ...
大势与抉择:关键趋势20讲(马江博)
无限维空间上的测度和积分
CDA数据分析脱产就业班于2026年3月7日开班! ...
参数估计:CDA数据分析师的核心推断工具,用 ...
通用指标与场景指标:CDA数据分析师的核心分 ...
GeoSaaS永久会员版
全国国土利用现状、耕地、园地、林地分布等 ...
癌症·真相:医生也在读(菠萝)
2024年合集 ESG评级数据大全(彭博 华证 Wi ...
推荐文章
2026JG学术冬训营:从Stata初高到Python机器 ...
【必看】【本版版规,欢迎发悬赏贴求助】
【新课】26年3月|Gemini辅助论文写作与数据 ...
关于如何利用文献的若干建议
关于学术研究和论文发表的一些建议
关于科研中如何学习基础知识的一些建议 (一 ...
一个自编的经济学建模小案例 --写给授课本科 ...
AI智能体赋能教学改革: 全国AI教育教学应用 ...
2025中国AIoT产业全景图谱报告-406页
关于文献求助的一些建议
说点什么
分享
微信
QQ空间
QQ
微博
扫码加好友,拉您进群
各岗位、行业、专业交流群