全部版块 我的主页
论坛 提问 悬赏 求职 新闻 读书 功能一区 经管文库(原现金交易版)
940 1
2023-04-04
全国31个省份产业结构升级合理化高级化地区生产总值GDP第一二三产业增加值就业人员数量2002-2021


产业结构升级(高级化、合理化)
时间:2002-2021
数据范围:全国31个省份
数据来源:中国统计年鉴、国家统计局
包括的指标:
第一产业就业人员数(万人) 中国统计年鉴
第二产业就业人员数(万人) 中国统计年鉴
第三产业就业人员数(万人) 中国统计年鉴
就业人员数(万人) 中国统计年鉴
第一产业增加值 国家统计局
第二产业增加值 国家统计局
第三产业增加值 国家统计局
地区生产总值 国家统计局
产业结构合理化:采用泰尔指数的倒数衡量(图2公式)
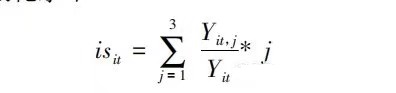
产业结构高级化两种计算方式:
第1:图3公式
第2:第三产业增加值/第二产业增加值

参考文献:①数字产业化对产业结构升级的...中国省际面板数据的实证分析_冯素玲.
②干春晖,郑若谷,余典范.中国产业结构变迁对经济增长和波动的影响[J].经济研究,2011,46(05):4-16+31.

全国31个省份产业结构升级合理化高级化地区生产总值GDP第一二三产业增加值就业人员数量.zip
大小:(615 KB)

只需: RMB 49元  马上下载

本附件包括:

  • 中国产业结构变迁对经济增长和波动的影响_干春晖.pdf
  • 全国31个省份产业结构升级合理化高级化地区生产总值GDP第一二三产业增加值就业人员数量2002-2021.xlsx
  • 数字产业化对产业结构升级的...中国省际面板数据的实证分析_冯素玲.pdf


(压缩包是excel数据文件+参考文献)
e08c05019c8d78296a5f6f72c34c4a0.png


dfbc9d3ca8dfece96ac075c66f6f66d.jpg

d36d1d319ac3015ee62f3b1924d45b2.jpg

二维码

扫码加我 拉你入群

请注明:姓名-公司-职位

以便审核进群资格,未注明则拒绝

全部回复
2023-4-4 15:29:45
nicht einfach
二维码

扫码加我 拉你入群

请注明:姓名-公司-职位

以便审核进群资格,未注明则拒绝

相关推荐
栏目导航
热门文章
推荐文章

说点什么

分享

扫码加好友,拉您进群
各岗位、行业、专业交流群