全部版块 我的主页
论坛 计量经济学与统计论坛 五区 计量经济学与统计软件 Stata专版
673 4
2023-04-06
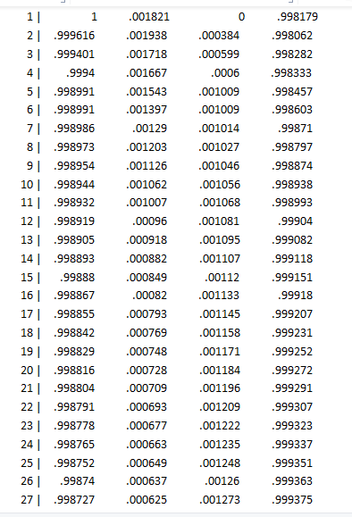
之前做的方差分解结果都是滞后期越长,通常自身对于自身的影响程度会降低,所得到的信息份额也就更少,如果是像上述图片出现的这种情况具体是什么原因啊?希望各位大佬能够解答一下
附件列表
1680781914589.png

原图尺寸 21.76 KB

1680781914589.png

二维码

扫码加我 拉你入群

请注明:姓名-公司-职位

以便审核进群资格,未注明则拒绝

全部回复
2023-4-8 09:14:51
不给一下列名?
二维码

扫码加我 拉你入群

请注明:姓名-公司-职位

以便审核进群资格,未注明则拒绝

2023-4-8 22:06:00
jnutt 发表于 2023-4-8 09:14
不给一下列名?
大佬您好,截图的时候没有截上,美国期货市场和我国现货市场价格序列做的方差分解
二维码

扫码加我 拉你入群

请注明:姓名-公司-职位

以便审核进群资格,未注明则拒绝

2023-4-14 09:08:39
价格序列一般是非平稳的吧,换收益或者波动率数据试试
二维码

扫码加我 拉你入群

请注明:姓名-公司-职位

以便审核进群资格,未注明则拒绝

2023-4-19 19:33:31
joey2019 发表于 2023-4-14 09:08
价格序列一般是非平稳的吧,换收益或者波动率数据试试
抱歉老师,我没说清楚,我这个序列就是收益率序列,而且全部都已经通过了平稳性检验了
二维码

扫码加我 拉你入群

请注明:姓名-公司-职位

以便审核进群资格,未注明则拒绝

相关推荐
栏目导航
热门文章
推荐文章

说点什么

分享

扫码加好友,拉您进群
各岗位、行业、专业交流群