全部版块 我的主页
论坛 提问 悬赏 求职 新闻 读书 功能一区 真实世界经济学(含财经时事)
4906 6
2023-04-09
南京大学2022年本科生跨大类转专业录取名单


南大转专业2.jpeg

南大转专业3.jpeg

南大转专业4.jpeg


南大转专业5.jpeg


南京大学本一批热门专业招生比例已经很高,以2022年甘肃为例
  
年份 省市 专业 类型 科类 层次 计划数
2022 甘肃 人工智能 统招 理工 -- 2 全国第一,保研率50%,就业极好
2022 甘肃 工科试验班 统招 理工 -- 2 包含金融工程、自动化等热门专业
2022 甘肃 技术科学试验班 统招 理工 -- 7 包含四个最热门的专业,其中3个为计算机人工智能相关专业,另一个为目前最火的集成电路
2022 甘肃 环境科学与工程类(环境与健康实验班) 统招 理工 -- 1
2022 甘肃 理科试验班(数理科学类) 统招 理工 -- 8 包含数理化、统计等专业
2022 甘肃 理科试验班类(化学与生命科学类) 统招 理工 -- 2
2022 甘肃 电子信息类 统招 理工 -- 5 南大新的王牌
2022 甘肃 经济管理试验班 统招 理工 -- 2 南大毕业生在华泰证券、国泰君安证券等最顶尖券商就业有明显优势,在南京银行、江苏银行、民生银行等最高薪银行就业也有远超全国第二名的优势!
2022 甘肃 计算机科学与技术 统招 理工 -- 3 南大王牌
2022 甘肃 软件工程 统招 理工 -- 4 南大小王牌
2022 甘肃 金融工程(计算机金融实验班) 统招 理工 -- 1 南大王牌
2022 甘肃 匡亚明学院大理科班(任选专业,包含计算机、人工智能、数理化生,保研率70%,不是保研就是出国,出路全国第一)南大王牌
  
  
南大热门专业招生比例高达91.4%,根本没有这些黑子脑子里脑补出来的一大堆招人很多的冷门专业
  
1. 近年来,本科生在南大转入技术科学实验班(人工智能/智能科学与技术、智能软件工程、数字经济、集成电路)、软件工程、电子信息、口腔医学、临床医学、声学、统计学、法学、金融工程、经济管理实验班、数学等众多就业最热门专业很容易,一次性成功率几乎100%。转入绝大部分以上专业只要选上课就行。选课时能看到有多少转专业意向的人一起竞争,注意避开太多人选的专业。
在南大只有转进人工智能学院的人工智能专业(而非技术科学实验班的两个人工智能相关专业)、计算机系有点难度,转专业到人工智能学院的人工智能要求大一上学期的所有课程都到80以上,其中有数分和离散数学,但以上众多就业热门专业就业质量和计算机系一样非常好。千万不要低估南大口腔医学专业。南大口腔医学专业毕业生躺着都能在江浙沪粤京开诊所,而在江浙沪粤京开个小诊所可以轻松年入几百万。
2. 2012年南大本科三三制教改以来,南大所有本科生均可自由选择全校任何本科专业作为第二专业,均可自由选择全校任何院系课程。南大的第二本科专业培养方式、毕业要求与第一专业相同,第二学士学位经教育部批准加注在南大学士学位证书上,等同于双学位。这是全国高校中独一无二的巨大福利!
  
南大根本没有大面积的冷门传统工科专业,没有任何冷门医学专业和任何农学专业。
  
  
南大工科热门新工科招生比例占八成以上,比例全国最高!而且南大工科中最热门的计算机软件类(含计算机、软件、人工智能、智能科学、计算机金融双学位班等)、电子信息类实力极强,冷门工科要么没有要么规模非常小。
南大的医学本科只招最热门的临床5+3和最热门的口腔医学,从来没有躲在提前批、三位一体、医学单列、护理单列、异地校区单列、其他单列、综合评价、地方专项、国家专项、贫困专项、定向、合作办学等偷偷招大量基础医学、临床5年制、预防医学、药学、中西医结合、法医学、医学技术、护理学等比本一批所谓主代码低40-150分的低分考生!所以说南大的医学本科热门专业比例高达100%,远远超过其他医学强校,实际本科生源也仅次于同样仅招热门医学的清华医学院。你不服也不行
  

南京大学2009、2010两个本科年级已有1379人修读第二专业课程。
https://learning.sohu.com/20120605/n344803468.shtml






附件列表
南大转专业1.jpeg

原图尺寸 1.1 MB

南大转专业1.jpeg

二维码

扫码加我 拉你入群

请注明:姓名-公司-职位

以便审核进群资格,未注明则拒绝

全部回复
2023-4-10 06:04:38
南大跨院系转专业的人远不止这些,以下专业从南大本科新生中选拔,每个专业名额都不少
https://baijiahao.baidu.com/s?id ... r=spider&for=pc

*本科交叉创新实验班——
传媒实验班、生物演化与环境国际班、工业智能与系统集成实验班

*口腔医学专业
*基础学科拔尖学生培养计划2.0——
地质学、地理科学、大气科学、大理科、数学、物理学、化学、生物科学、天文学、计算机科学、中国语言文学、历史学、哲学、经济学


以南大数学系为例,南京大学2020级本科生二次选拔(数学强基、拔尖计划)30人,名单在
https://math.nju.edu.cn/zszp/bkz ... tml?ivk_sa=1024320u


二维码

扫码加我 拉你入群

请注明:姓名-公司-职位

以便审核进群资格,未注明则拒绝

2023-4-10 06:06:02
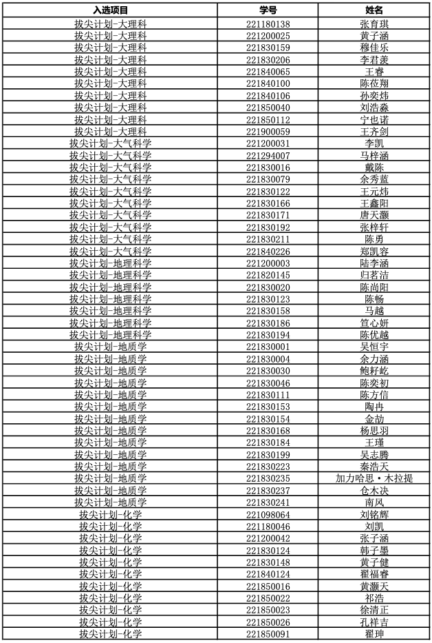
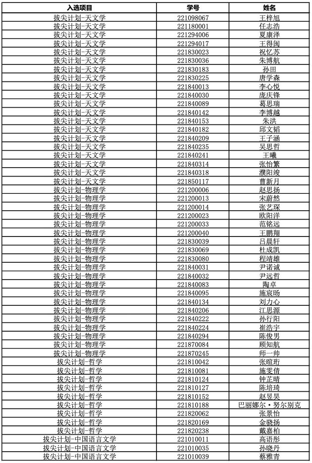
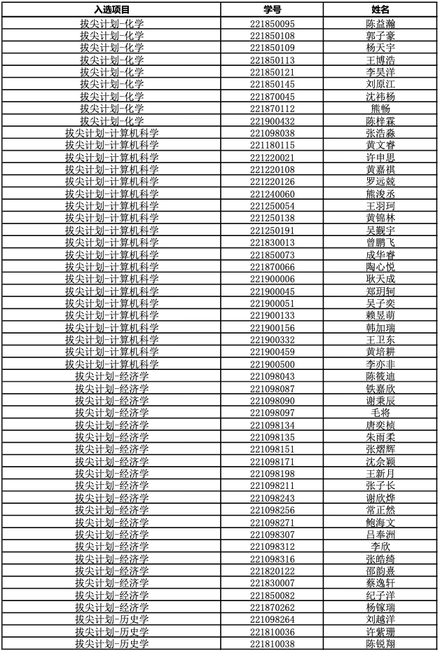
以下为南大2022级本科生二次选拔结果公示
https://jw.nju.edu.cn/f2/9c/c26263a586396/page.htm

拔尖1.png

拔尖2.png

拔尖3.png

拔尖4.png



拔尖5.png

拔尖6.png

附件列表
拔尖1.png

原图尺寸 211.84 KB

拔尖1.png

二维码

扫码加我 拉你入群

请注明:姓名-公司-职位

以便审核进群资格,未注明则拒绝

2023-4-10 13:30:00
2022年南京大学537位本科生转专业录取名单,疯狂打脸南大黑
  
南大本科生有2种转专业方式,第一种方式二次选拔转专业可以转入拔尖班,第二种方式跨院系转专业只能转入普通班。2022年南大二次选拔转专业共录取267人,跨院系转专业共录取270人,合计转专业537人。从2023年开始,南大每年多了100多个技术科学试验班的转专业录取名额。
  
以下为分专业统计
转入匡亚明学院大理科班拔尖计划10人,大理科班任选专业,包含计算机、人工智能、数理化生等专业,近2年一半学生选择计算机,两成学生选择人工智能
转入计算机拔尖计划20人
转入计算机普通班29人
转入软件工程40人,申请转入40人,一次性转入成功率100%
转入电子信息类(含电子信息、微电子、集成电路、通信工程,但不含光电)38人
转入经济学拔尖计划20人
转入金融工程8人
转入数学拔尖计划20人
转入物理拔尖计划(含声学)20人
转入工业智能与系统集成试验班20人
转入口腔医学拔尖计划5人
转入中文拔尖计划15人
另外转入数学普通班、物理普通班(含声学)、法学普通班、经济学普通班、信息管理与信息系统、口腔医学普通班、金融学、自动化、光电、工业工程等专业的人很多,请自己计数
  
  
南京大学本一批热门专业招生比例已经很高,以2022年甘肃为例
   
年份 省市 专业 类型 科类 层次 计划数
2022 甘肃 人工智能 统招 理工 -- 2 全国第一,保研率50%,就业极好
2022 甘肃 工科试验班 统招 理工 -- 2 包含金融工程、自动化等热门专业
2022 甘肃 技术科学试验班 统招 理工 -- 7 包含四个最热门的专业,其中3个为计算机人工智能相关专业,另一个为目前最火的集成电路
2022 甘肃 环境科学与工程类(环境与健康实验班) 统招 理工 -- 1
2022 甘肃 理科试验班(数理科学类) 统招 理工 -- 8 包含数理化、统计等专业
2022 甘肃 理科试验班类(化学与生命科学类) 统招 理工 -- 2
2022 甘肃 电子信息类 统招 理工 -- 5 南大新的王牌
2022 甘肃 经济管理试验班 统招 理工 -- 2 南大毕业生在华泰证券、国泰君安证券等最顶尖券商就业有明显优势,在南京银行、江苏银行、民生银行等最高薪银行就业也有远超全国第二名的优势!
2022 甘肃 计算机科学与技术 统招 理工 -- 3 南大王牌
2022 甘肃 软件工程 统招 理工 -- 4 南大小王牌
2022 甘肃 金融工程(计算机金融实验班) 统招 理工 -- 1 南大王牌
2022 甘肃 匡亚明学院大理科班(任选专业,包含计算机、人工智能、数理化生,保研率70%,不是保研就是出国,出路全国第一)南大王牌  
  
南大热门专业招生比例高达91.4%,根本没有这些黑子脑子里脑补出来的一大堆招人很多的冷门专业
   
1. 近年来,本科生在南大转入技术科学实验班(人工智能/智能科学与技术、智能软件工程、数字经济、集成电路)、软件工程、电子信息、口腔医学、声学、统计学、法学、金融工程、经济管理实验班、数学等众多就业最热门专业很容易,一次性成功率几乎100%,而且南大本科生有3次转专业机会。转入以上绝大部分专业只要选上课就行。选课时能看到有多少转专业意向的人一起竞争,注意避开太多人选的专业。
在南大只有转进人工智能学院的人工智能专业(而非技术科学实验班的两个人工智能相关专业)、计算机系有点难度,转专业到人工智能学院的人工智能要求大一上学期的所有课程都到80以上,其中有数分和离散数学,但以上众多就业热门专业就业质量和计算机系一样非常好。千万不要低估南大口腔医学专业。南大口腔医学专业毕业生躺着都能在江浙沪粤京开诊所,而在江浙沪粤京开个小诊所可以轻松年入几百万。
  
2. 2012年南大本科三三制教改以来,南大所有本科生均可自由选择全校任何本科专业作为第二专业,均可自由选择全校任何院系课程。南大的第二本科专业培养方式、毕业要求与第一专业相同,第二学士学位经教育部批准加注在南大学士学位证书上,等同于双学位。这是全国高校中独一无二的巨大福利!
   
和南大黑母校完全不同,南大根本没有大面积的冷门传统工科专业,没有任何冷门医学专业和任何农学专业!
二维码

扫码加我 拉你入群

请注明:姓名-公司-职位

以便审核进群资格,未注明则拒绝

2023-4-10 13:37:08
南大技术科学试验班包含四个就业非常热门的专业:智能科学与技术(其实就是人工智能)、智能软件工程(人工智能+软件工程交叉专业)、集成电路、数字经济(南大经济学院与计算机系合办的交叉业),2023年只要报名转专业到技术科学试验班相应专业,选上相应课程,转专业即可成功!!!
二维码

扫码加我 拉你入群

请注明:姓名-公司-职位

以便审核进群资格,未注明则拒绝

2023-4-11 13:12:02
二维码

扫码加我 拉你入群

请注明:姓名-公司-职位

以便审核进群资格,未注明则拒绝

点击查看更多内容…
相关推荐
栏目导航
热门文章
推荐文章

说点什么

分享

扫码加好友,拉您进群
各岗位、行业、专业交流群