经管之家App
让优质教育人人可得
立即打开
全部版块
我的主页
›
论坛
›
提问 悬赏 求职 新闻 读书 功能一区
›
经管文库(原现金交易版)
【FDI与OFDI】地级市省级外商直接投资实际投资协议投资 上市公司OFDI全球省级流量存量
楼主
数据通天
897
13
收藏
2023-04-15
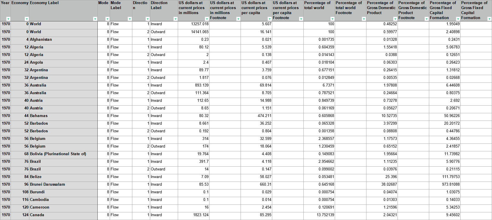
【外商直接投资FDI与对外直接投资OFDI数据集】中国地级市(分全市、市辖区)、省级实际利用外资金额、协议利用外资金额、外商直接投资合同数、全球各国外商直接投资FDI中国省级对外直接投资存量与流量、分行业对外投资、分国家对外投资、中国省级对外投资核准企业、中国企业全球投资追踪数据(OFDI微观数据)
上市公司对外投资金额、上市公司海外收入与财务指标匹配数据、海外收入占比数据
外商直接投资FDI与对外直接投资OFDI
大小:(76 Bytes)
只需: RMB 29元
马上下载
附件列表
OFDI.png
原图尺寸 27.61 KB
FDI.png
原图尺寸 32.93 KB
OFDI与FDI.png
原图尺寸 42.36 KB
扫码加我 拉你入群
请注明:姓名-公司-职位
以便审核进群资格,未注明则拒绝
全部回复
沙发
数据通天
2023-4-16 19:36:57
扫码加我 拉你入群
请注明:姓名-公司-职位
以便审核进群资格,未注明则拒绝
藤椅
数据通天
2023-4-17 22:34:01
扫码加我 拉你入群
请注明:姓名-公司-职位
以便审核进群资格,未注明则拒绝
板凳
数据通天
2023-4-21 00:33:03
扫码加我 拉你入群
请注明:姓名-公司-职位
以便审核进群资格,未注明则拒绝
报纸
数据通天
2023-4-21 20:31:13
扫码加我 拉你入群
请注明:姓名-公司-职位
以便审核进群资格,未注明则拒绝
地板
数据通天
2023-4-24 00:01:51
扫码加我 拉你入群
请注明:姓名-公司-职位
以便审核进群资格,未注明则拒绝
点击查看更多内容…
7楼
数据通天
2023-5-29 01:31:54
扫码加我 拉你入群
请注明:姓名-公司-职位
以便审核进群资格,未注明则拒绝
8楼
数据通天
2023-5-29 23:59:57
扫码加我 拉你入群
请注明:姓名-公司-职位
以便审核进群资格,未注明则拒绝
9楼
数据通天
2023-6-1 00:16:59
扫码加我 拉你入群
请注明:姓名-公司-职位
以便审核进群资格,未注明则拒绝
10楼
数据通天
2023-6-5 23:49:54
扫码加我 拉你入群
请注明:姓名-公司-职位
以便审核进群资格,未注明则拒绝
11楼
数据通天
2023-6-13 23:32:55
扫码加我 拉你入群
请注明:姓名-公司-职位
以便审核进群资格,未注明则拒绝
12楼
数据通天
2023-6-25 23:57:58
扫码加我 拉你入群
请注明:姓名-公司-职位
以便审核进群资格,未注明则拒绝
13楼
数据通天
2024-2-19 23:01:55
扫码加我 拉你入群
请注明:姓名-公司-职位
以便审核进群资格,未注明则拒绝
14楼
学经济的理工男
2024-2-20 22:56:00
您好,请问数据来源是哪里的?
扫码加我 拉你入群
请注明:姓名-公司-职位
以便审核进群资格,未注明则拒绝
相关推荐
汇率变化对我国外商直接投资的影响
关于外商直接投资和浙江三次产业结构的实证分析问题
急求制造业上市公司的OFDI
上市公司的OFDI
求助!!!想要求上市公司的ofdi信息!!!
【学习笔记】求近20年各省的外商直接投资数据!
贵州统计年鉴数据EXCEL:贵州按行业分外商直接投资协议金额(2005-2019)
1980-2020全球各国、地区OFDI和FDI(外商直接投资和对外直接投资)存量和流量数据!!
2005年01月-2005年12月全国月度数据-对外贸易及利用外资-外商直接投资合同项目数相关指标
2017年01月-2017年12月全国月度数据-对外贸易及利用外资-实际利用外商直接投资金额 相关指标
栏目导航
经管文库(原现金交易版)
求助成功区
经管高考
学道会
stata专版
行业分析报告
热门文章
2007-2024年上市公司高管绿色认知数据环保意 ...
《那年2003:我双手插兜,搞钱不知什么叫对 ...
大势与抉择:关键趋势20讲(马江博)
国家新纪元:人工智能时代的力量与优势
《那年2003》第67章:预警信号频发?CDA老哥 ...
北美PHD,焦虑的一批~
《那年2003》 第66章:时间管理大师?周旋于 ...
无限维空间上的测度和积分
计算方法丛书006 无约束最优化计算方法 邓乃 ...
当前债务螺旋下的底层人民经济学
推荐文章
2026JG学术冬训营:从Stata初高到Python机器 ...
【必看】【本版版规,欢迎发悬赏贴求助】
【新课】26年3月|Gemini辅助论文写作与数据 ...
关于如何利用文献的若干建议
关于学术研究和论文发表的一些建议
关于科研中如何学习基础知识的一些建议 (一 ...
一个自编的经济学建模小案例 --写给授课本科 ...
AI智能体赋能教学改革: 全国AI教育教学应用 ...
2025中国AIoT产业全景图谱报告-406页
关于文献求助的一些建议
说点什么
分享
微信
QQ空间
QQ
微博
扫码加好友,拉您进群
各岗位、行业、专业交流群