经管之家App
让优质教育人人可得
立即打开
全部版块
我的主页
›
论坛
›
经济学论坛 三区
›
宏观经济学
人力资本模型中欧拉方程的应用
楼主
Mr.朱
751
2
收藏
2023-05-27
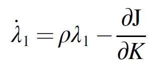
卢卡斯的人力资本模型中,构建汉密尔顿函数,求出一阶导条件,然后为什么影子价格
,我按照汉密尔顿的求解方式得到的没有ρλ,恳请各位指点
扫码加我 拉你入群
请注明:姓名-公司-职位
以便审核进群资格,未注明则拒绝
全部回复
沙发
Mr.朱
2023-5-27 11:24:51
就是如下所示,这个ρλ1
附件列表
微信图片_20230527112412.png
原图尺寸 5.23 KB
扫码加我 拉你入群
请注明:姓名-公司-职位
以便审核进群资格,未注明则拒绝
藤椅
Mr.朱
2023-5-27 12:43:09
找到了详细的推导过程
附件列表
Current Value Hamiltonian.pdf
大小:299.69 KB
马上下载
扫码加我 拉你入群
请注明:姓名-公司-职位
以便审核进群资格,未注明则拒绝
相关推荐
基于劳动者平均工资的人力资本测量
[分享]卢卡斯人力资本模型的推导
请问卢卡斯的人力资本论文
卢卡斯人力资本模型英文版论文
求助,关于卢卡斯人力资本外部性模型
请高手告知卢卡斯人力资本模型、罗默的知识驱动模型的主要观点和结论
卢卡斯人力资本模型
关于卢卡斯人力资本模型的教程?
理性预期的卢卡斯与人力资本模型的卢卡斯是一个人么?
人力资本模型
栏目导航
宏观经济学
学道会
经管文库(原现金交易版)
数据分析与数据挖掘
论坛培训
数据分析与数据科学
热门文章
【浙商证券】太空算力与商业航天行业专题报 ...
现代数学译丛14非线性最优化基础
2026年技术趋势报告 Tech Trends 2026-德勤 ...
【南方农村报】2025中国牛蛙产业报告
现代数学译丛10 调和分析基础教程
民营企业涉税合规自查手册
【华西证券】AI浪潮之基,电力价值与生态重 ...
物流运作基础 (英国皇家采购与供应学会(CI ...
【顶刊方法,24重磅!】2005-2024上市公司绿色 ...
2026年Stata初高级寒假班—AI赋能+原理+操作 ...
推荐文章
26年寒假天津站|Gemini论文写作&数据分析 ...
2026JG学术冬训营:从Stata初高到Python机器 ...
关于如何利用文献的若干建议
关于学术研究和论文发表的一些建议
关于科研中如何学习基础知识的一些建议 (一 ...
一个自编的经济学建模小案例 --写给授课本科 ...
AI智能体赋能教学改革: 全国AI教育教学应用 ...
2025中国AIoT产业全景图谱报告-406页
关于文献求助的一些建议
几种免费下载文献的方法----我的文献应助经
说点什么
分享
微信
QQ空间
QQ
微博
扫码加好友,拉您进群
各岗位、行业、专业交流群