全部版块 我的主页
论坛 提问 悬赏 求职 新闻 读书 功能一区 经管文库(原现金交易版)
676 0
2023-06-06

【省级面板数据】2001-2022数据年度为2000-2021全国31省自治区直辖市省级面板数据-对外经济贸易大类数据(ARIMA填补无缺失值)


中国省级面板统计数据库-
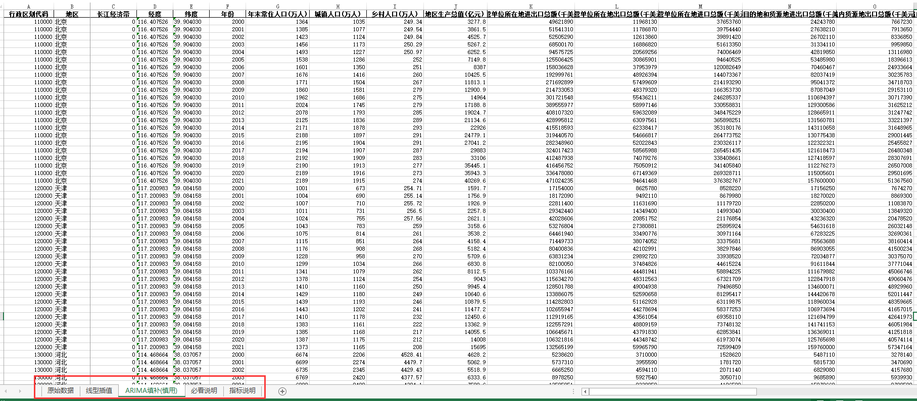
对外经济贸易(包含四个页签:原始数据线性插值ARIMA填补、指标说明四个页签)

本数据搜集整理了2001-2022年中国统计年鉴、各省统计年鉴数据,数据年度为2000-2021年。

包含全国31省自治区直辖市的综合、国民经济核算、人口、就业人员和工资、固定资产投资和房地产、对外经济贸易、能源、财政、价格指数、人民生活、城市概况、资源和环境、农业、工业、建筑业、运输和邮电、批发零售业、住宿餐饮、旅游、教育、科技、卫生、社会服务、文化、体育、公共管理、社会保障及其他共计28个一级指标大类,一共包括2980个数据指标。

本数据为
对外经济贸易大类数据(含年末常住人口、城镇、乡村人口、地区生产总值GDP)。

1、数据来源:中国统计年鉴、各省统计年鉴、统计局

2、数据时间:2000-2021

3、数据格式:excel

4、数据指标及展示:

所有面板数据打包(2980个指标):

2001-2022(数据年度2000-2021)中国统计年鉴31省份面板数据含无缺失值填补2980个指标数据

对外经济贸易大类面板数据:

对外经济贸易大类数据主要指标如下:(含年末常住人口、城镇、乡村人口、地区生产总值GDP

52205bd11a42b3022397452cafc1eb6.png


数据大致如下:

6409d9a8d6e7933b14fecc5033a9dff.png


附件列表
二维码

扫码加我 拉你入群

请注明:姓名-公司-职位

以便审核进群资格,未注明则拒绝

相关推荐
栏目导航
热门文章
推荐文章

说点什么

分享

扫码加好友,拉您进群
各岗位、行业、专业交流群