全部版块 我的主页
论坛 提问 悬赏 求职 新闻 读书 功能一区 经管文库(原现金交易版)
12589 11
2023-06-20
数据范围:2001-2022年,共 47,581 条观测值,全部A股上市公司
已剔除金融业、STPT、资不抵债的样本。


指标包括:
CashFlow:经营净现金流 / 年末总资产
ROA_净利润:净利润 / 平均总资产
ROA_息税前利润:息税前利润 / 平均总资产
企业风险承担水平
大小:(85 Bytes)

只需: RMB 10元  马上下载


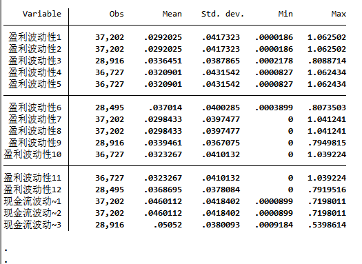
盈利波动性1:ROA_净利润 的三年波动率,即 t-2 年到 t 年标准差
盈利波动性2:ROA_净利润 的三年波动率,即 t 年到 t+2 年标准差
盈利波动性3:ROA_净利润 的五年波动率,即 t-2 年到 t+2 年标准差

盈利波动性4:ROA_息税前利润 的三年波动率,即 t-2 年到 t 年标准差
盈利波动性5:ROA_息税前利润 的三年波动率,即 t 年到 t+2 年标准差
盈利波动性6:ROA_息税前利润 的五年波动率,即 t-2 年到 t+2 年标准差

盈利波动性7:ROA_净利润 的三年波动率,即 t-2 年到 t 年标准差,并经过年度行业调整
盈利波动性8:ROA_净利润 的三年波动率,即 t 年到 t+2 年标准差,并经过年度行业调整
盈利波动性9:ROA_净利润 的五年波动率,即 t-2 年到 t+2 年标准差,并经过年度行业调整

盈利波动性10:ROA_息税前利润 的三年波动率,即 t-2 年到 t 年标准差,并经过年度行业调整
盈利波动性11:ROA_息税前利润 的三年波动率,即 t 年到 t+2 年标准差,并经过年度行业调整
盈利波动性12:ROA_息税前利润 的五年波动率,即 t-2 年到 t+2 年标准差,并经过年度行业调整

现金流波动性1:CashFlow 的三年波动率,即 t-2 年到 t 年标准差
现金流波动性2:CashFlow 的三年波动率,即 t 年到 t+2 年标准差
现金流波动性3:CashFlow 的五年波动率,即 t-2 年到 t+2 年标准差
发原始数据、运行代码、参考文献、最终结果。

1.png 2.png 3.png 4.png 5.png 6.png


二维码

扫码加我 拉你入群

请注明:姓名-公司-职位

以便审核进群资格,未注明则拒绝

全部回复
2023-6-20 20:37:20
fuer learn
二维码

扫码加我 拉你入群

请注明:姓名-公司-职位

以便审核进群资格,未注明则拒绝

2023-6-21 11:18:59
一共15个指标噢,任君选择!
二维码

扫码加我 拉你入群

请注明:姓名-公司-职位

以便审核进群资格,未注明则拒绝

2023-8-19 13:46:53
超低价!一手打造!有专业文献!
二维码

扫码加我 拉你入群

请注明:姓名-公司-职位

以便审核进群资格,未注明则拒绝

2023-9-22 15:45:42
您好,请问楼主可否留个联系方式,我想请教一下风险承担水平的计算公式,我的QQ:1346563321,您加我也行。感谢科研人!
二维码

扫码加我 拉你入群

请注明:姓名-公司-职位

以便审核进群资格,未注明则拒绝

2023-9-22 15:47:09
给我一把斧头 发表于 2023-8-19 13:46
超低价!一手打造!有专业文献!
科研大佬,请问是否可以加您个联系方式,想请教一下风险承担水平是怎么来的计算公式,我的QQ:1346563321,您加我也行,感谢!
二维码

扫码加我 拉你入群

请注明:姓名-公司-职位

以便审核进群资格,未注明则拒绝

点击查看更多内容…
相关推荐
栏目导航
热门文章
推荐文章

说点什么

分享

扫码加好友,拉您进群
各岗位、行业、专业交流群