1.计算说明
OLS方法和固定效应方法
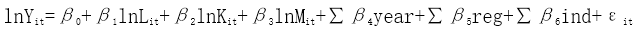
本文在测算企业全要素生产率时,以
产出(Y)=当年营业收入
资本投入(K)=年末固定资产净额
劳动投入(L)=员工人数
中间投入(M)=营业成本+销售费用+财务费用+管理费用-折旧费用-支付给职工以及为职工支付的现金
year、reg和ind分别是代表企业年份、地区和行业的虚拟变量
ε表示在生产函数中无法体现的随机干扰以及测量误差等因素
对各变量均取对数后进行OLS回归/固定效应回归,从而得到全要素生产率指标(TFP)

注:对于每个模型,不同的文献选取的指标存在差异,如
产出(Y)的计算,有的文献用 职工薪酬+固定资产折旧+营业利润+应交税费(Y1);
劳动投入(L)的计算,有的文献用 支付给职工以及为职工支付的现金(L1);
中间投入(M)的计算,有的文献用 营业成本+销售费用+财务费用+管理费用-折旧费用-职工薪酬(M1);
本人在初始数据和计算代码中提供了上述提到的所有常用替代计算变量(Y1、L1、M1),方便大家自己修改代码。
注:单位为万元
2.数据说明
样本选择:全部A股2000-2022年数据(“员工人数”数据是从1999年开始,数据起点选择为2000年)
做了如下的处理:剔除金融行业的样本;剔除当年年末被ST、*ST或PT的上市公司;剔除公司IPO当年及以前的数据;剔除已经退市的上市公司样本;剔除交叉上市的公司
并对连续型变量进行了1%和99%分位数的缩尾处理
行业参照证监会2012年行业分类标准,制造业用二级行业分类(取前两位),其他用一级分类来计算
每个压缩包都附有初始数据,计算代码,参考文献和最终数据
3.参考文献
[1]马金华,林源,费堃桀.企业税费负担对经济高质量发展的影响分析——来自我国制造业的证据[J].当代财经,2021(03):40-52.(M1)
[2]胡杰武,吴晖.全要素生产率、产业集聚和中国企业跨国并购[J].北京交通大学学报(社会科学版),2022,21(03):110-123.
[3]宋旭光,何佳佳,左马华青.数字产业化赋能实体经济发展:机制与路径[J].改革,2022(06):76-90.
[4]毛振华,谭曼,曾淑桂.政治关联加剧了企业金融化吗——来自中国民营企业的经验证据[J].湖南大学学报(社会科学版),2022,36(02):35-42.
[5]于明超,谭阳.主导产业政策与企业全要素生产率——基于中国开发区设立的准自然实验[J/OL].产业经济评论:1-18[2022-11-28].(Y1)
[6]宋清华,钟启明,温湖炜.产业数字化与企业全要素生产率——来自中国制造业上市公司的证据[J].海南大学学报(人文社会科学版),2022,40(04):74-84.(L1、M1)
[7]鲁晓东,连玉君.中国工业企业全要素生产率估计:1999—2007[J].经济学(季刊),2012,11(02):541-558.
压缩包所含文件:
数据样例:
分年份数据量统计:
描述性统计结果:
单位元:
描述性统计结果