全部版块 我的主页
论坛 提问 悬赏 求职 新闻 读书 功能一区 经管文库(原现金交易版)
2884 14
2023-06-28

管理者过度自信与企业风险承担



仅供学习参考,祝大家科研顺利~~

✔数据来源和样本筛选

样本为2008~2022年发行了A股的非金融类上市公司,剔除了在观测时段内管理者发生变更的企业,剔除了存在缺失的变量值,剔除了ST类企业,因为这类企业是在一种异常的状态下经营。

所使用的数据包括企业特征数据和高管个人特征数据。



✔变量设计

被解释变量-风险承担计算说明

主要用企业盈利的波动性衡量风险承担水平,。ROA为企业i相应年度的税息折旧及摊销前利润(EBITDA)与当年末资产总额的比率。计算波动性时,我们先对企业每一年的ROA采用行业平均值进行调整,然后计算企业在每一观测时段内经行业调整的ROA的标准差。即:
1524010wf9eutpce0bu9oe.png


解释变量-管理者过度自信计算说明
我们关注的总经理个人特征包括:
(1)性别。尽管男性和女性都有过度自信的倾向,但女性更为谨慎和保守。因此,若总经理为男性,则Genderd为1,否则为0。
(2)年龄。高年龄管理者更倾向于规避风险,也可能更恰当地认识自身所掌握的技能。因此,若总经理年龄小于样本平均值,则Aged为1,否则为0。
(3)学历。教育水平更高的人更相信自身的能力和判断的准确性,更可能表现出过度自信。因此,若总经理学历为本科以上,则Educationd为1,否则为0。
(4)教育背景。有经管类教育背景的管理者,对风险和收益的理解可能更深刻,所以过度自信的倾向可能更弱(。因此,若总经理不具有经管类教育背景,则Backgroundd为1,否则为0。
(5)两职合一。总经理同时被授予董事长职务,这会潜在地提高总经理对自身能力的认可度,进一步推动其在决策中表现出过度自信倾向。因此,若总经理兼任董事长,则Chairmand为1,否则为0。
不同特征所反映的信息会有差异,所以单一特征衡量管理者过度自信可能会存在片面性。我们进一步构建一个综合变量OC来定义管理者过度自信。具体来说,我们计算每一位总经理以上五项特征的总取值,若取值为4或5(同时具备其中任何四项或以上特征),则将其定义为过度自信,OC为1,否则为0。


控制变量
  • 考虑以下影响企业风险承担行为的因素:
  • 企业规模(Size),定义为总资产的自然对数;
  • 杠杆率(Leverage),定义为总负债与总资产的比例;
  • 销售增长(Gsales),定义为企业营业收入的年增长率;
  • 企业年龄(Fage),定义为企业成立年限加1后取自然对数,即1n(1+企业成立年限);
  • 所有权(Ownership),定义为企业第一大股东年末的持股比例,检验时我们将持股比例小于20%的取值,全部赋值为0;
  • 所有权性质(State),若企业第一大股东所持股份的性质属于国有则取值1,否则为0。
  • 行业虚拟变量(IndustryD)
  • 年度虚拟变量(YearD)


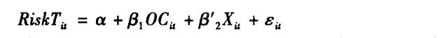
✔模型设计
基础回归模型

152401mhq9b9pbpqqzwpv9.png


风险承担对企业资本配置效率的影响
1524025dfki8hi5fhkdjni.png


风险承担对企业价值的影响
152402rz3ur52i0t3o203r.png



✔参考文献

余明桂, 李文贵, 潘红波. 管理者过度自信与企业风险承担[J]. 金融研究, 2013(1):15.

✔结果截图

描述性统计
QQ截图20230628145105.jpg


单变量均值检验
QQ截图20230628145129.jpg QQ截图20230628145138.jpg
QQ截图20230628145147.jpg


中位数秩和检验
QQ截图20230628145206.jpg
QQ截图20230628145215.jpg
QQ截图20230628145223.jpg


相关性分析
QQ截图20230628145235.jpg


基础回归

QQ截图20230628145256.jpg


风险承担对企业资本配置效率的影响
QQ截图20230628145309.jpg


风险承担对企业价值的影响
QQ截图20230628145320.jpg


稳健性检验-内生性问题
* 利用工具变量法重新对模型(1)和模型(3)进行检验。
* OC的工具变量是同年度同行业其他企业具有过度自信特征的管理者的比例。
* RiskT的工具变量是同年度同行业其他企业风险承担水平的均值。

QQ截图20230628145332.jpg


稳健性检验 - 使用制造行业的企业重新回归
QQ截图20230628145344.jpg



稳健性检验 - 以5年为一个观测时段,考察管理者的在任情况并计算企业的风险承担水平。

QQ截图20230628145354.jpg



稳健性检验 - 替换变量 R&D支出占资产总额的比例衡量风险承担

QQ截图20230628145404.jpg



稳健性检验 - 用观测时段内企业最大的ROA与最小的ROA之间的差值衡量企业风险承担


QQ截图20230628145414.jpg


稳健性检验 - 替换变量 采用息税前利润(EBIT)计算ROA,然年后重新计算企业风险承担

QQ截图20230628145426.jpg



✔购买资料包


152406aa3wugiwgigisati.png

QQ截图20230628145837.jpg



QQ截图20230628145756.jpg
QQ截图20230628145804.jpg




质量保证,有问题可以咨询,楼主及时看到及时回复~


二维码

扫码加我 拉你入群

请注明:姓名-公司-职位

以便审核进群资格,未注明则拒绝

全部回复
2023-6-28 15:09:20
包含风险承担计算代码
二维码

扫码加我 拉你入群

请注明:姓名-公司-职位

以便审核进群资格,未注明则拒绝

2023-6-28 15:09:38
包含过度自信计算代码
二维码

扫码加我 拉你入群

请注明:姓名-公司-职位

以便审核进群资格,未注明则拒绝

2023-6-28 15:10:04
内容丰富,供学习参考
二维码

扫码加我 拉你入群

请注明:姓名-公司-职位

以便审核进群资格,未注明则拒绝

2023-6-28 15:10:19
有需要可以购买
二维码

扫码加我 拉你入群

请注明:姓名-公司-职位

以便审核进群资格,未注明则拒绝

2023-8-24 14:42:17
效果很好,欢迎购买,更多数据访问,不容错过
https://bbs.pinggu.org/home.php?mod=space&uid=9478734&do=thread&view=me&from=space
二维码

扫码加我 拉你入群

请注明:姓名-公司-职位

以便审核进群资格,未注明则拒绝

点击查看更多内容…
相关推荐
栏目导航
热门文章
推荐文章

说点什么

分享

扫码加好友,拉您进群
各岗位、行业、专业交流群