tgauss 发表于 2023-7-22 18:40 
能否把前因后果说得详细点,啥数据、啥指令画的图?
use "C:\Users\25392\Desktop\全部公司数据.dta",clear
winsor2 kp fixratio own1 age size dep salary staff irbr npg roa turnover cash lev eps,replace cuts(1 99)
gen event = quarter - yq
tab event
replace event = -10 if event < -10
replace event = 10 if event >10
forvalues i=10(-1)1{
gen pre`i'=(event==-`i'& treat==1)
}
gen current=(event==0 & treat==1)
forvalues i=1(1)10{
gen post`i'=(event==`i'& treat==1)
}
drop pre1
reghdfe kp pre* current post* fixratio own1 age size dep salary staff irbr npg roa turnover cash lev eps duality,absorb(stkcd quarter) vce(cluster stkcd)
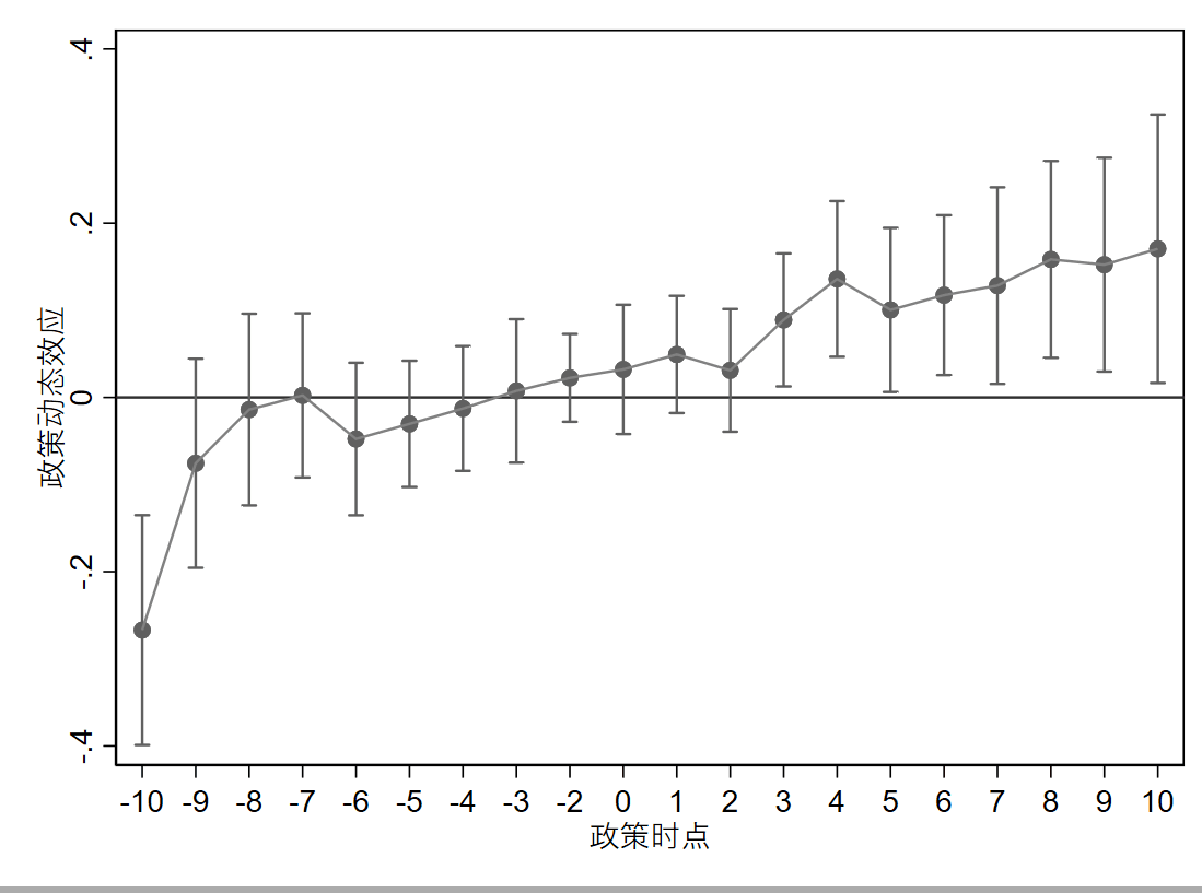
coefplot, baselevels keep(pre* current post*) vertical yline(0) ytitle("政策动态效应") xtitle("政策时点") addplot(line @b @at) ciopts(recast(rcap)) scheme(s1mono) level(90) coeflabels(pre10=-10 pre9 = -9 pre8 = -8 pre7 = -7 pre6 = -6 pre5 = -5 pre4 = -4 pre3 = -3 pre2 = -2 current = 0 post1 = 1 post2 = 2 post3 = 3 post4 = 4 post5 = 5 post6 = 6 post7 = 7 post8 = 8 post9 = 9 post10 = 10 )