全部版块 我的主页
论坛 计量经济学与统计论坛 五区 计量经济学与统计软件 Stata专版
1187 12
2023-08-15
[img]blob:https://bbs.pinggu.org/f8f02696-e0e4-4ee4-8a36-3991c16bda55[/img 1692093830626.jpg
二维码

扫码加我 拉你入群

请注明:姓名-公司-职位

以便审核进群资格,未注明则拒绝

全部回复
2023-8-15 18:05:12
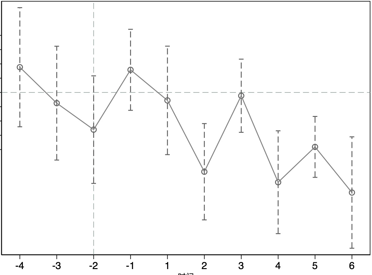
drop掉了政策当期,但是第一期和第三期都不够显著~求问各位大佬这个算通过吗?另外想问一下各位大佬,有没有什么办法可以调整
二维码

扫码加我 拉你入群

请注明:姓名-公司-职位

以便审核进群资格,未注明则拒绝

2023-8-15 20:31:39
econometrics菜鸟 发表于 2023-8-15 18:05
drop掉了政策当期,但是第一期和第三期都不够显著~求问各位大佬这个算通过吗?另外想问一下各位大佬,有没 ...
通过了,其他不是太大问题,不必烦恼。
二维码

扫码加我 拉你入群

请注明:姓名-公司-职位

以便审核进群资格,未注明则拒绝

2023-8-16 23:29:58
通过了平行趋势检验,政策前期的线跨越了0,表明政策前期不显著,满足平行趋势。而政策后期,需要合理解释,为什么第一期和第三期不显著,其他期显著。可以通过调整控制变量再试一试。
二维码

扫码加我 拉你入群

请注明:姓名-公司-职位

以便审核进群资格,未注明则拒绝

2023-8-17 11:21:53
把变动成分拆解出来:长期趋势、季节性隐私和残差
最后保留
二维码

扫码加我 拉你入群

请注明:姓名-公司-职位

以便审核进群资格,未注明则拒绝

2023-8-17 16:01:03
政策当期是什么情况,不要刻意隐藏信息
二维码

扫码加我 拉你入群

请注明:姓名-公司-职位

以便审核进群资格,未注明则拒绝

点击查看更多内容…
栏目导航
热门文章
推荐文章

说点什么

分享

扫码加好友,拉您进群
各岗位、行业、专业交流群