经管之家App
让优质教育人人可得
立即打开
全部版块
我的主页
›
论坛
›
休闲区 十二区
›
灌水吧
DID平行趋势检验是否通过
楼主
欧阳爆鹏
945
11
收藏
2023-09-17
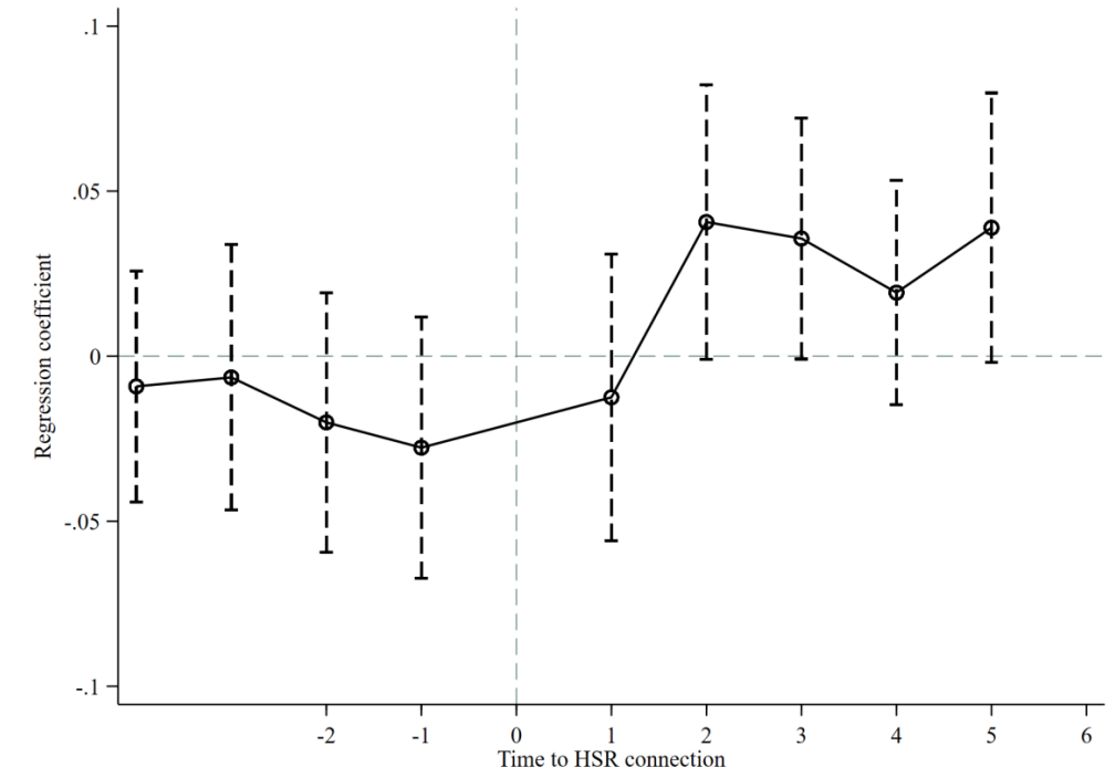
请问各位老师,平行趋势检验这样算通过了吗?
扫码加我 拉你入群
请注明:姓名-公司-职位
以便审核进群资格,未注明则拒绝
全部回复
沙发
731660963
2023-9-17 15:41:58
不算
扫码加我 拉你入群
请注明:姓名-公司-职位
以便审核进群资格,未注明则拒绝
藤椅
1940066
2023-9-19 12:23:37
满足政策冲击前的平行趋势条件,但是政策实施后没有明显效果,如果把政策实施后调得显著一些就挺好了
扫码加我 拉你入群
请注明:姓名-公司-职位
以便审核进群资格,未注明则拒绝
板凳
NHY2023
2023-9-20 12:14:48
政策冲击前,不显著,满足平行趋势检验。但是政策后期也没有显著效果,动态效应不好。可以把政策实施后调整,让个别年份显著就好。
扫码加我 拉你入群
请注明:姓名-公司-职位
以便审核进群资格,未注明则拒绝
报纸
cdygxdx
2023-9-21 11:02:57
让第一期为基准期试试呢
扫码加我 拉你入群
请注明:姓名-公司-职位
以便审核进群资格,未注明则拒绝
地板
fanggodie
2023-9-21 15:06:59
没有通过
扫码加我 拉你入群
请注明:姓名-公司-职位
以便审核进群资格,未注明则拒绝
点击查看更多内容…
7楼
拾酒
2023-9-21 16:18:38
试试tvdiff,我现在都拿他判断
扫码加我 拉你入群
请注明:姓名-公司-职位
以便审核进群资格,未注明则拒绝
8楼
DAWN1406
2023-9-22 14:38:51
没有通过,政策实施前后置信区间都有0,应该实施前含0,实施后不含0
扫码加我 拉你入群
请注明:姓名-公司-职位
以便审核进群资格,未注明则拒绝
9楼
lwx5025
2023-9-27 11:08:27
从图表来看,应该是政策实施后显著性水平产生变化了,但不够明显(估计水平为10%),会被质疑。建议改成表格式陈述,看起来会更明星
扫码加我 拉你入群
请注明:姓名-公司-职位
以便审核进群资格,未注明则拒绝
10楼
NO1乐知
2023-9-28 17:14:12
仅通过政策前平行趋势检验,但是该检验表明政策无效,需要解释为什么无效,这是难点
扫码加我 拉你入群
请注明:姓名-公司-职位
以便审核进群资格,未注明则拒绝
11楼
capsulewya
2023-11-23 11:37:29
勉强过了,你要不要调整一下政策时期,和控制变量
扫码加我 拉你入群
请注明:姓名-公司-职位
以便审核进群资格,未注明则拒绝
12楼
过路的小狗
2024-3-3 06:03:39
没有,政策发生后,置信区间不能包含零
扫码加我 拉你入群
请注明:姓名-公司-职位
以便审核进群资格,未注明则拒绝
相关推荐
关于DID
PSM核匹配后DID分析
学习DID比较好的文章
DID倍差法命令
特殊DID
PSM+DID实验组数量要求~
如何做PSM+DID?
多时点did平行趋势检验问题
psm-did
DID只有交乘项显著
栏目导航
灌水吧
悬赏大厅
经管文库(原现金交易版)
经管留学
金融类
财会类
热门文章
CDA 认证考试大纲 2025 重磅更新:一二级考 ...
CDA数据分析师实战:因子分析的业务应用与落 ...
Gemini准确率从21%飙到97%!谷歌只用了这一 ...
Introductory Econometrics: A Modern Appr ...
如盈财女:1.19黄金回踩顺势做多,原油高空 ...
CDA数据分析脱产就业班于2025年12月08日开班 ...
图书:历史照进现实
optimization algorithms: ai techniques f ...
兴业研究-库存周期分析
【资料共享】Python入门资料与产品经理学习 ...
推荐文章
【必看】【本版版规,欢迎发悬赏贴求助】
26年寒假天津站|Gemini论文写作&数据分析 ...
2026JG学术冬训营:从Stata初高到Python机器 ...
关于如何利用文献的若干建议
关于学术研究和论文发表的一些建议
关于科研中如何学习基础知识的一些建议 (一 ...
一个自编的经济学建模小案例 --写给授课本科 ...
AI智能体赋能教学改革: 全国AI教育教学应用 ...
2025中国AIoT产业全景图谱报告-406页
关于文献求助的一些建议
说点什么
分享
微信
QQ空间
QQ
微博
扫码加好友,拉您进群
各岗位、行业、专业交流群