经管之家App
让优质教育人人可得
立即打开
全部版块
我的主页
›
论坛
›
计量经济学与统计论坛 五区
›
计量经济学与统计软件
›
LISREL、AMOS等结构方程模型分析软件
amos自变量潜变量和显变量可以同时存在吗?与显变量单独做模型的结果为何不一致?
楼主
adminuuu
2063
3
收藏
2023-10-10
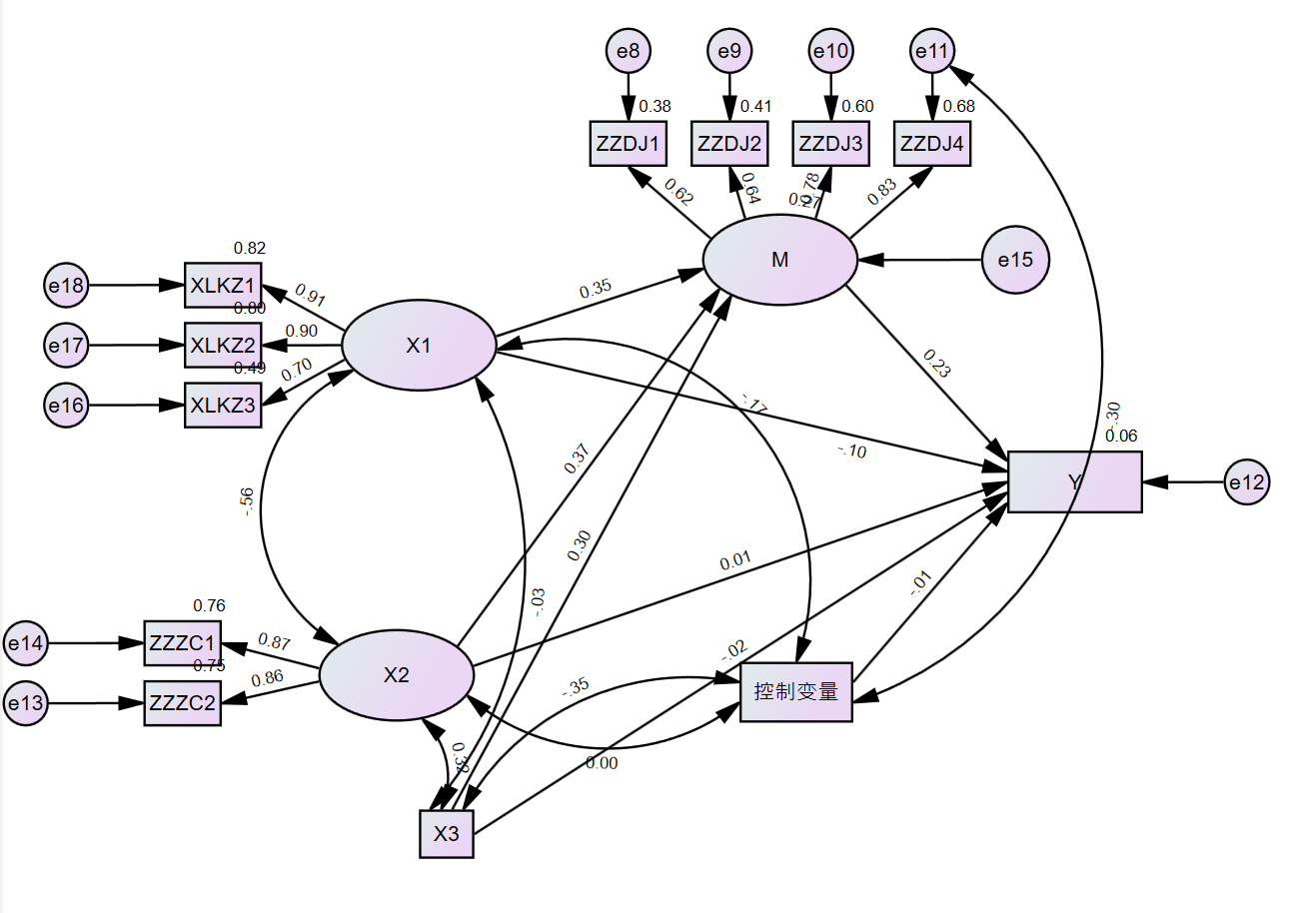
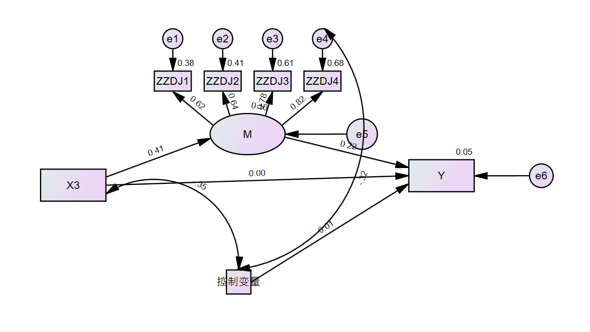
请教各位大佬,在做结构方程模型时,自变量有三个,X1和X2为某量表的两个分量表(均可单独使用),分量表下还有维度,做潜变量,X3为另一个量表下的分量表(可单独使用),做显变量,X1、X2、X3均和因变量Y相关显著。当X1、X2、X3同时放入模型时,X3的中介作用不显著,当把X3单独拿出来重新做模型后中介显著,想问下这种情况是X3显变量不应该和X1、X2潜变量放在同一个模型吗?需要分开做模型吗?
扫码加我 拉你入群
请注明:姓名-公司-职位
以便审核进群资格,未注明则拒绝
全部回复
沙发
sun_man
2023-10-10 15:55:16
这种情况可能表明X3与X1和X2潜变量之间存在一些复杂的关系。可以考虑分开进行模型分析。首先,您可以将X1和X2作为自变量,Y作为因变量,构建一个结构方程模型,以评估X1和X2对Y的直接效应。然后,可以将X3作为自变量,Y作为因变量,构建另一个结构方程模型,以评估X3对Y的直接效应。这样可以帮助分离出X3的独立影响。
另外,也可以考虑探索X3与X1、X2之间的交互作用。通过添加交互项,可以评估X3是否与X1、X2之间的关系有所变化,从而进一步理解X3的中介作用。
总之,根据您的研究目的和数据分析需求,您可以选择分开进行模型分析或者探索交互作用,以更好地理解X3的中介作用。请记得在进行结构方程模型分析时,还要考虑到样本大小、模型拟合度等因素的影响,并进行适当的解释和讨论。
扫码加我 拉你入群
请注明:姓名-公司-职位
以便审核进群资格,未注明则拒绝
藤椅
suofei33
2023-10-14 20:38:26
好的呢,非常对!!!!!!!!!!!!!!!!!!!!!
扫码加我 拉你入群
请注明:姓名-公司-职位
以便审核进群资格,未注明则拒绝
板凳
cmy750
2024-5-16 01:55:01
您好,想请教一下,您这种因变量只有一个的结构方程的模型设计是怎么写的呢
扫码加我 拉你入群
请注明:姓名-公司-职位
以便审核进群资格,未注明则拒绝
相关推荐
AMOS为什么说要求这两个自变量变量F4,F5相关呢
急急!!求助!!Amos 外因潜变量之间MI值很大!
Amos 自变量二分变量问题
Amos中自变量为二分变量的问题,求教高手!
[求助]AMOS区分效度的检验
AMOS建模自变量间要建立两两公变关系吗?
amos中潜变量为什么一直出现使用框的警告?
Amos分析报错
AMOS潜变量
AMOS自变量之间拉双箭头
栏目导航
LISREL、AMOS等结构方程模型分析软件
经管文库(原现金交易版)
人工智能论文版
新手入门区
经管高考
行业分析报告
热门文章
CDA 认证考试大纲 2025 重磅更新:一二级考 ...
Gemini准确率从21%飙到97%!谷歌只用了这一 ...
CDA数据分析脱产就业班于2025年12月08日开班 ...
兴业研究-库存周期分析
《2025全球电子商务手册》中文简版
现代数学译丛06应用偏微分方程 中译本,John ...
本周顶尖人工智能工具
2025年零售新品情报合集
现代数学译丛21欧拉图与相关专题,(英)费莱 ...
2025益生菌消费者洞察
推荐文章
【必看】【本版版规,欢迎发悬赏贴求助】
26年寒假天津站|Gemini论文写作&数据分析 ...
2026JG学术冬训营:从Stata初高到Python机器 ...
关于如何利用文献的若干建议
关于学术研究和论文发表的一些建议
关于科研中如何学习基础知识的一些建议 (一 ...
一个自编的经济学建模小案例 --写给授课本科 ...
AI智能体赋能教学改革: 全国AI教育教学应用 ...
2025中国AIoT产业全景图谱报告-406页
关于文献求助的一些建议
说点什么
分享
微信
QQ空间
QQ
微博
扫码加好友,拉您进群
各岗位、行业、专业交流群