全部版块 我的主页
论坛 提问 悬赏 求职 新闻 读书 功能一区 经管文库(原现金交易版)
920 0
2023-10-13
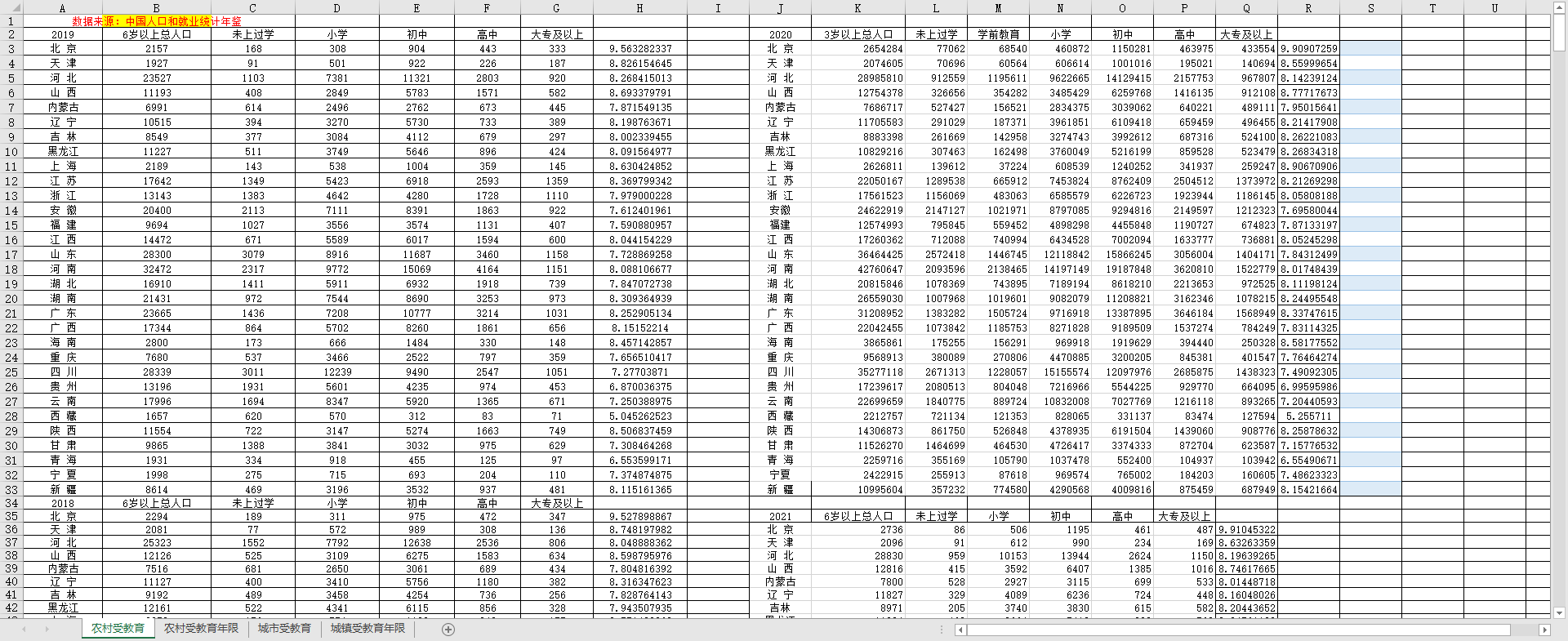
全国31省份城镇农村人均受教育年限2000-2021人力资本6岁以上总人口未上过学小学初中高中大专及以上
表格中包含计算公式

农村人均受教育年限数据

城镇人均受教育年限数据
31省城镇和农村人均受教育年限面板数据。
时间:2000-2021年
数据来源:中国人口和就业统计年鉴
包含所有年份的原始数据,可自行检验数据真实性!
数据为自用的,无缺失数据,可直接用!
分别包含如下页签:
    农村受教育人口数据:6岁以上总人口        未上过学        小学        初中        高中        大专及以上
    农村受教育年限
    城市受教育人口数据:6岁以上总人口        未上过学        小学        初中        高中        大专及以上
    城镇受教育年限
6岁以上总人口        未上过学        小学        初中        高中        大专及以上




69c277f8b470a0936b11c5cd84c8694.png


e4cb9fd459ff4d2e8a515c9986879fe.png


09a3ff810255bbeb8f18b0343abcc24.png



二维码

扫码加我 拉你入群

请注明:姓名-公司-职位

以便审核进群资格,未注明则拒绝

栏目导航
热门文章
推荐文章

说点什么

分享

扫码加好友,拉您进群
各岗位、行业、专业交流群