经管之家App
让优质教育人人可得
立即打开
全部版块
我的主页
›
论坛
›
经济学人 二区
›
学术资源/课程/会议/讲座
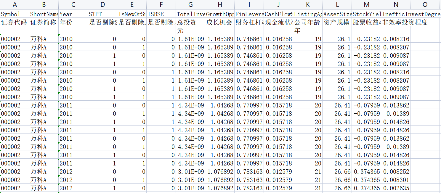
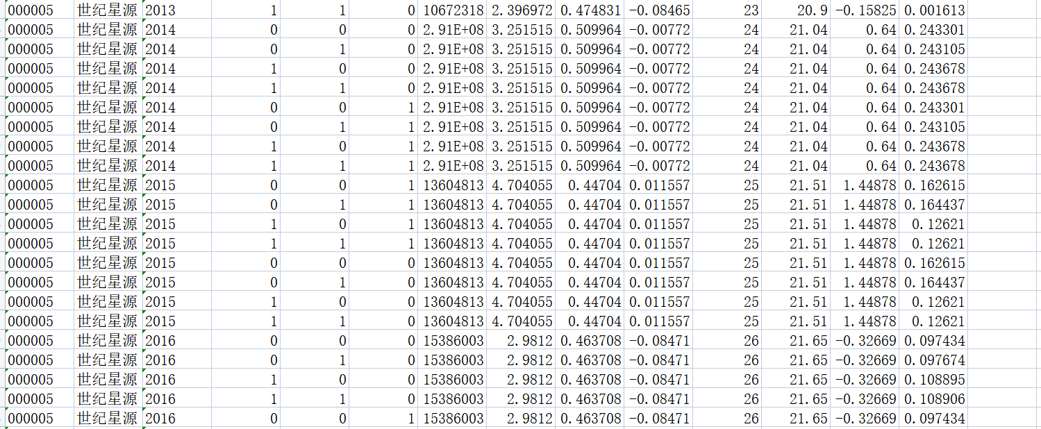
上市公司非效率投资2010-2022
楼主
yy_97
370
0
收藏
2023-11-13
上市公司非效率投资2010-2022
包含Growth Cash Lev Age Size等相关变量,自行筛选是否剔除ST等
附部分数据信息
附件列表
上市公司非效率投资2010-2022.xlsx
大小:16.92 MB
只需: 10 个论坛币
马上下载
扫码加我 拉你入群
请注明:姓名-公司-职位
以便审核进群资格,未注明则拒绝
相关推荐
上市公司的成长性在英文里规范的说法是什么
一家上市公司的size是指市值还是总资产?
1990-2020上市公司及高管数据
最新!上市公司ZF补助数据(2003-2020年)
1990-2020上市公司及高管信息数据
2021-2000年上市公司过度负债数据、企业过度负债数据
1999-2021年上市公司各类专利增量和存量
【2023年更新】上市公司研发数据2018-2022年
栏目导航
学术资源/课程/会议/讲座
创新与战略管理
休闲灌水
Stata专版
经管文库(原现金交易版)
新手入门区
热门文章
新宏观丨豆包,传统经济学与商学对全球性债 ...
几何(第五卷)[法] M. 贝尔热
几何(第四卷)[法] M. 贝尔热
奇瑞QQ焕新归来
CDA数据分析脱产就业班于2026年3月7日开班! ...
表格结构数据的核心特征及具象实例解析
湖南统计年鉴2025(Excel版)
中外历史年代对照表
高效办公—Word零基础教程
2026太空算力发展研究报告
推荐文章
2026JG学术冬训营:从Stata初高到Python机器 ...
【必看】【本版版规,欢迎发悬赏贴求助】
26年寒假天津站|Gemini论文写作&数据分析 ...
关于如何利用文献的若干建议
关于学术研究和论文发表的一些建议
关于科研中如何学习基础知识的一些建议 (一 ...
一个自编的经济学建模小案例 --写给授课本科 ...
AI智能体赋能教学改革: 全国AI教育教学应用 ...
2025中国AIoT产业全景图谱报告-406页
关于文献求助的一些建议
说点什么
分享
微信
QQ空间
QQ
微博
扫码加好友,拉您进群
各岗位、行业、专业交流群