全部版块 我的主页
论坛 提问 悬赏 求职 新闻 读书 功能一区 经管文库(原现金交易版)
283 0
2024-02-26

数据简介

碳排放是指二氧化碳等温室气体进入大气层并造成气候变化的过程。这个过程主要是由于人类活动,特别是燃烧化石燃料和土地利用变化等人类行为导致的。碳排放对全球气候变化产生了重大影响,因此现在很多国家和组织都在采取措施来减少碳排放。

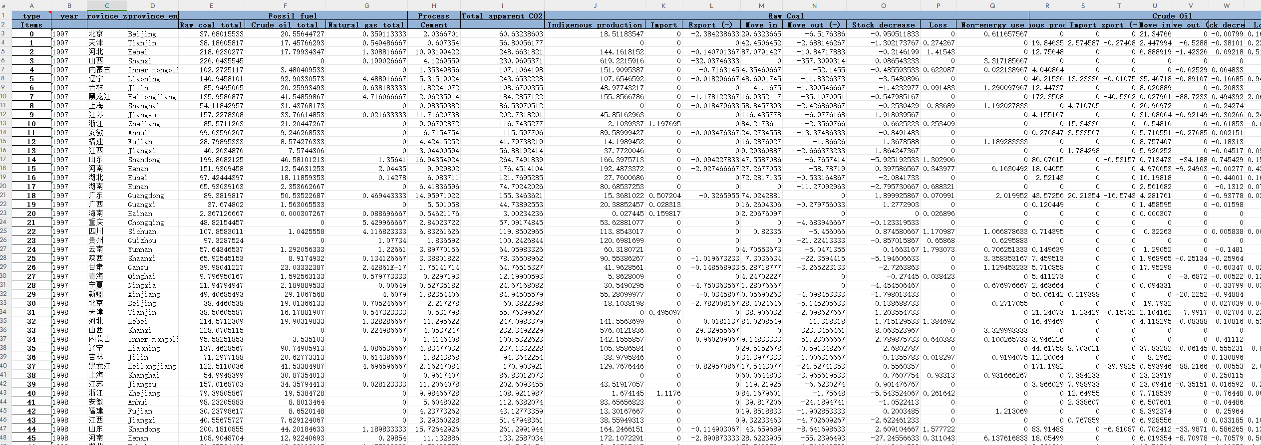
数据名称:中国各地区-碳排放相关数据

数据年份:1997-2019年


1.png

相关数据指标

Raw coal total、Crude oil total、Natural gas total Cement、Indigenous production、Import Export (-)、Move in、Move out (-)、Stock decrease、Loss、Non-energy use Indigenous production、Import、Export (-) Move in Move out (-) Stock decrease、Loss Non-energy use Indigenous production Import、Export (-)、Move in、Move out (-)、Stock decrease、Loss Non-energy use

研究碳问题获取的一个相对久远的数据,大家有兴趣可以下载

1997-2019年各地区碳排放相关数据
大小:(76 Bytes)

只需: RMB 12元  马上下载

二维码

扫码加我 拉你入群

请注明:姓名-公司-职位

以便审核进群资格,未注明则拒绝

相关推荐
栏目导航
热门文章
推荐文章

说点什么

分享

扫码加好友,拉您进群
各岗位、行业、专业交流群