全部版块 我的主页
论坛 提问 悬赏 求职 新闻 读书 功能一区 经管文库(原现金交易版)
1126 0
2024-03-11

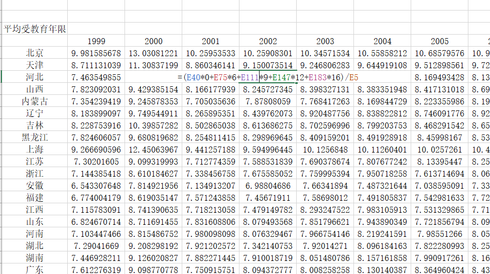
1999-202230省平均受教育年限数据(含原始数据+具体计算过程+计算结果)

1、时间:1999-2022

2、范围:30省(剔除西藏)

3、计算方式:平均受教育年限=(未上学人数*0+小学人数*6+初中人数*9+高中人数*12+大专及以上人数*16/6岁以上人口数

4、来源:统计NJ、人K和就业统计NJ

5、具体指标:未上学人数、6岁以上人数、小学人数、初中人数、高中人数、大专人数等指标

5、用途:可用于衡量人力资本水平




1709385901030.jpg 1709385922050.jpg
二维码

扫码加我 拉你入群

请注明:姓名-公司-职位

以便审核进群资格,未注明则拒绝

相关推荐
栏目导航
热门文章
推荐文章

说点什么

分享

扫码加好友,拉您进群
各岗位、行业、专业交流群