经管之家App
让优质教育人人可得
立即打开
全部版块
我的主页
›
论坛
›
计量经济学与统计论坛 五区
›
计量经济学与统计软件
›
LISREL、AMOS等结构方程模型分析软件
AMOS中介分析操作求答疑
楼主
zhangfii
544
2
收藏
2024-03-27
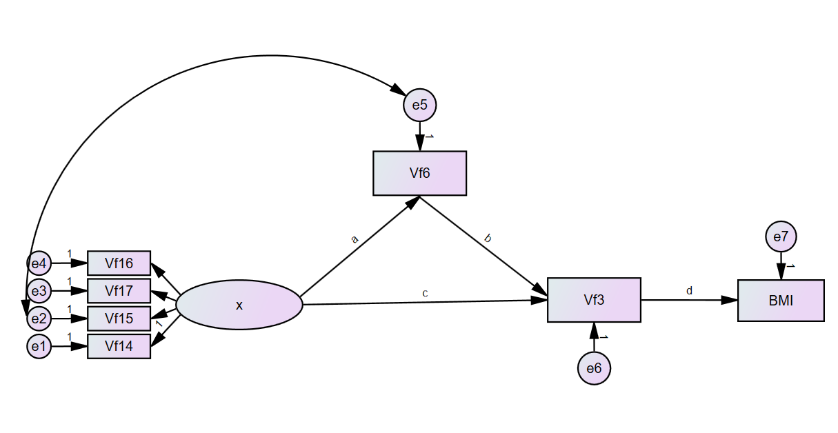
亲爱的老师们,请问AMOS中介分析模型可以简单中介中的因变量后边再加一个变量吗,如图所示,将因变量与最后一个变量单独分析,另外探讨他俩的关系
扫码加我 拉你入群
请注明:姓名-公司-职位
以便审核进群资格,未注明则拒绝
全部回复
沙发
lin1959
2024-3-28 15:01:04
我可以帮你解决,如有需要,可以加3100556104
扫码加我 拉你入群
请注明:姓名-公司-职位
以便审核进群资格,未注明则拒绝
藤椅
南南数据
2024-3-29 20:08:34
可以,但是自变量和中介变量也要有箭头指向最后一个变量。
扫码加我 拉你入群
请注明:姓名-公司-职位
以便审核进群资格,未注明则拒绝
相关推荐
[推荐]AMOS的经典教程
台灣AMOS名師張偉豪上課PPT的PDF檔案
新手寻找免费AMOS
AMOS的显示太模糊 如何调整
amos修正模型
怎么运用AMOS计算确定满意度各指标的权重
有关AMOS的分析,求助
关于AMOS中R方的问题, 请大神解答.感恩.
AMOS建模出不来结果 上图求教
AMOS处理二阶潜变量,可以用均值替代一阶潜变量吗
栏目导航
LISREL、AMOS等结构方程模型分析软件
经管文库(原现金交易版)
行业分析报告
基金与课题申请
EViews专版
外文文献专区
热门文章
科研时间70%耗在“下载-复制-粘贴”?零代码 ...
精准匹配,菁英相伴--经管之家单身俱乐部, ...
CDA 认证考试大纲 2025 重磅更新:一二级考 ...
我该如何记住你?智能体记忆系统的演化之路
2026年Agent领域十大趋势判断
蔡定创《信用价值论》中货币需求新公式研究
202601-中国智能驾驶行业趋势白皮书
到2032年全球RJ11连接器市场规模将接近12.4 ...
油罐车加油系统,全球前10强生产商排名及市 ...
现代数学基础 现代极限理论及其在随机结构中 ...
推荐文章
2026JG学术冬训营:从Stata初高到Python机器 ...
【必看】【本版版规,欢迎发悬赏贴求助】
26年寒假天津站|Gemini论文写作&数据分析 ...
关于如何利用文献的若干建议
关于学术研究和论文发表的一些建议
关于科研中如何学习基础知识的一些建议 (一 ...
一个自编的经济学建模小案例 --写给授课本科 ...
AI智能体赋能教学改革: 全国AI教育教学应用 ...
2025中国AIoT产业全景图谱报告-406页
关于文献求助的一些建议
说点什么
分享
微信
QQ空间
QQ
微博
扫码加好友,拉您进群
各岗位、行业、专业交流群