全部版块 我的主页
论坛 提问 悬赏 求职 新闻 读书 功能一区 经管文库(原现金交易版)
339 0
2024-06-24
1998-2023年上市公司税收优惠程度测算支付税费总计税费返还面板数据含原始数据及do代码

1、数据说明:
税收优惠是企业创新发展的重要政策工具之一。 税收优惠可以不仅有助于减轻企业负担、支持投资与创新、提高企业预期收益和现金流量,还有助于推动就业增长、经济繁荣和中小企业集群的形成。

原始数据来整理了上市公司支付的各项税费总计以及收到的税费返还,数据区间是2008至2023年,文件包含原始数据、do代码、参考文献、最终结果。
6d444f16c6e612e7132cdccd51ecf46.png
2、数据格式:
excel、dta
3、数据指标:
Stkcd

股票代码

id

证券代码

ShortName

股票简称

year

年份

IndustryName

行业名称

Industry1

行业代码

TaxRefund

税收优惠,数值越大,税收优惠程度越大

收到的税费返还

收到的税费返还

支付的各项税费

支付的各项税费

STPT

是否发生ST或*ST或PT

金融业

是否金融业

4、do代码:
68b792f2d1d731584da3bb2f037c999.png
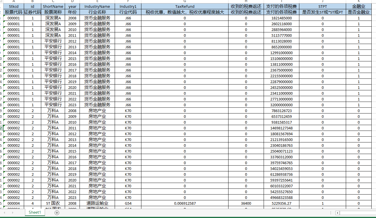
5、数据预览:

118ca8cb1f4baaa9f92c5be2babf218.png


二维码

扫码加我 拉你入群

请注明:姓名-公司-职位

以便审核进群资格,未注明则拒绝

相关推荐
栏目导航
热门文章
推荐文章

说点什么

分享

扫码加好友,拉您进群
各岗位、行业、专业交流群