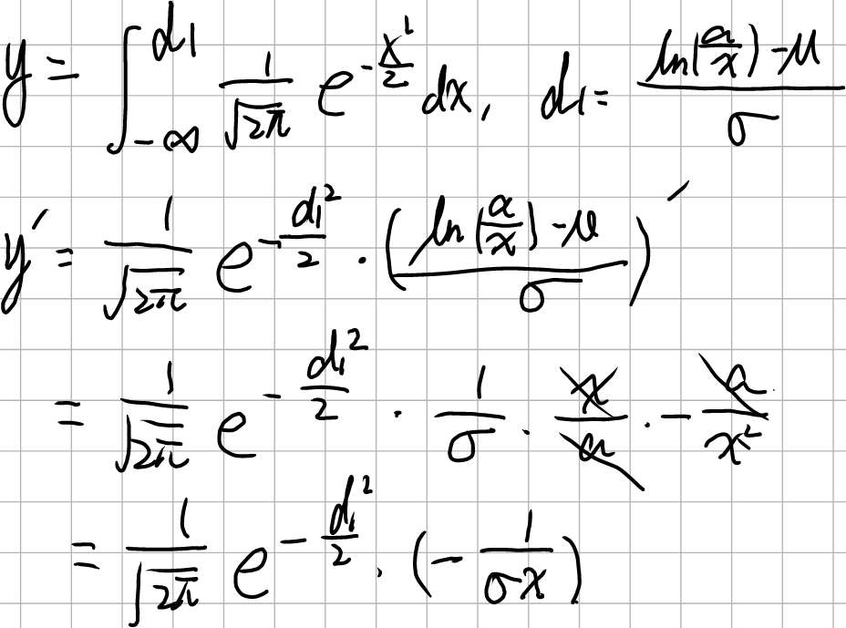
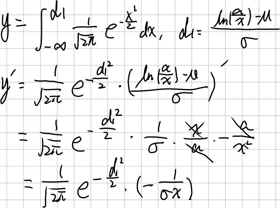
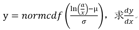
累积正态分布函数(Cumulative Distribution Function, CDF)通常记为Φ(x),其标准形式定义如下:
\[
\Phi(x) = \frac{1}{\sqrt{2\pi}} \int_{-\infty}^{x} e^{-\frac{t^2}{2}} dt
\]
累积正态分布函数的导数就是与之相对应的概率密度函数(Probability Density Function, PDF),通常记为φ(x),在标准正态分布的情况下,它定义如下:
\[
\phi(x) = \frac{1}{\sqrt{2\pi}} e^{-\frac{x^2}{2}}
\]
因此,累积正态分布函数Φ(x)的导数就是:
\[
\Phi'(x) = \phi(x)
\]
即
\[
\Phi'(x) = \frac{1}{\sqrt{2\pi}} e^{-\frac{x^2}{2}}
\]
此文本由CAIE学术大模型生成,添加下方二维码,优先体验功能试用