全部版块 我的主页
论坛 提问 悬赏 求职 新闻 读书 功能一区 经管文库(原现金交易版)
348 2
2024-06-27

2022-1990年全国300个城市地级市地区生产总值地级市GDP人均GDP第一二三产业增加值及占比(插值填补无缺版


一、数据介绍

数据名称:全国300个城市地级市地区生产总值地级市GDP人均GDP第一二三产业增加值及占比(插值填补无缺版

数据年份:1990-2022年,数据量9900行

数据范围:全国300左右地级市、城市,含直辖市

数据来源:《中国城市统计年鉴》、地方统计局

数据格式:Excel数据文件包含始数据(由于多年度指标不同存在缺失值)、线性插值、ARIMA填补(无缺失)三个版本,提供您参考使用。其中,ARIMA填补无缺失值。


二、变量说明及有效值统计

注意:我们把横跨33的年共有多个不同的指标数据都罗列出来了,而每年年鉴口径客观变化情况,存在年鉴口径客观披露缺失,没有原始数据的空白为年鉴客观缺失,即该年鉴该年没有统计。


变量

原始数据有效值
(近十年)

原始数据有效值
(全部年份)

线性插值有效值
(近十年)

线性插值有效值
(全部年份)

ARIMA填补有效值
(近十年)

ARIMA填补有效值
(全部年份)

年份

100.00%

100.00%

100.00%

100.00%

100.00%

100.00%

行政区划代码

100.00%

100.00%

100.00%

100.00%

100.00%

100.00%

地区

100.00%

100.00%

100.00%

100.00%

100.00%

100.00%

地区生产总值(万元)

96.41%

89.13%

97.85%

93.54%

100.00%

100.00%

第一产业增加值(万元)

87.19%

84.10%

97.85%

93.51%

100.00%

100.00%

第二产业增加值(万元)

87.19%

84.09%

97.85%

93.51%

100.00%

100.00%

第三产业增加值(万元)

87.19%

84.12%

97.85%

93.51%

100.00%

100.00%

第一产业增加值占GDP比重(%)

87.19%

84.47%

97.85%

93.54%

100.00%

100.00%

第二产业增加值占GDP比重(%)

87.19%

84.46%

97.85%

93.54%

100.00%

100.00%

第三产业增加值占GDP比重(%)

87.19%

84.49%

97.85%

93.54%

100.00%

100.00%

人均地区生产总值(元)

97.22%

68.80%

97.78%

92.19%

100.00%

100.00%


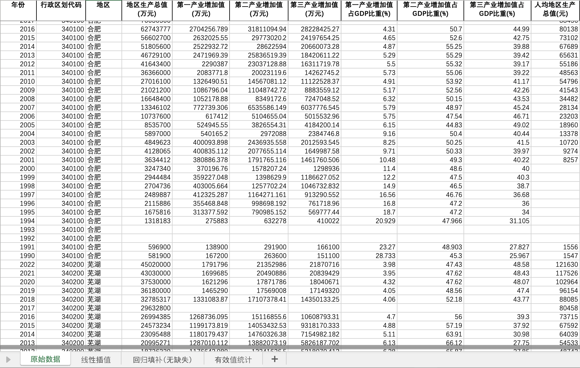
三、 部分Excel数据展示 WechatIMG13900.jpg
WechatIMG13901.jpg
WechatIMG13902.jpg


附件列表
二维码

扫码加我 拉你入群

请注明:姓名-公司-职位

以便审核进群资格,未注明则拒绝

全部回复
2024-6-27 10:42:12
数据A列已新增对应省份标识变量,请大家放心购买~  谢谢
二维码

扫码加我 拉你入群

请注明:姓名-公司-职位

以便审核进群资格,未注明则拒绝

2024-7-18 22:35:21
购买资料主要是用的放心,我们出售的资料都是包售后的。
本店同类数据,购买一次后续更新可凭购买记录免费领取最新版(每年单独计价类除外),请大家放心购买!

若有问题也可以留言私信,我们会在第一时间进行回复~
二维码

扫码加我 拉你入群

请注明:姓名-公司-职位

以便审核进群资格,未注明则拒绝

相关推荐
栏目导航
热门文章
推荐文章

说点什么

分享

扫码加好友,拉您进群
各岗位、行业、专业交流群