全部版块 我的主页
论坛 提问 悬赏 求职 新闻 读书 功能一区 经管文库(原现金交易版)
1633 12
2024-07-22
两区制空间杜宾模型,包含模型讲解、文献讲解以及结果分析,matlab代码实操包含本人配套讲解视频,简单易学,为了照顾matlab小白,本人已经将matlab调试好,跟着视频学习,导入自己数据后,修改部分参数即可呈现结果!!!操作十分简单,代码编写以及视频录制花了本人非常长的时间,资料制作不易,希望大家给点支持,支持原创,您的支持是对我继续创作的最大动力。
资料下载链接:
两区制空间杜宾模型
大小:(85 Bytes)

只需: RMB 69元  马上下载



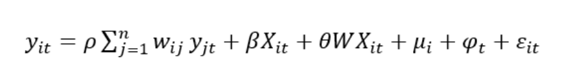
        传统的空间杜宾模型设定如下:

公式1.png

传统空间杜宾模型的缺陷如下:

传统的空间计量模型主要用于估计平均溢出效应情况, 而无法捕捉到不同区制之间的非对称溢出效应。

此外, 若按照传统的分组回归方法, 将样本数据按照不同区制进行分组处理, 由此得到的不同区制间的空间溢出效应值不具有严格的可比性, 难以准确衡量不同区制之 间的空间互动关系以及溢出效应差异。

基于传统空间杜宾模型的不足,两区制空间杜宾模型应运而生。拓展的两区制空间计量模型可有效解决传统空间计量的不足。


两区制空间杜宾具体模型设定如下:

公式2.png

其中,d为虚拟变量,用于进行区制划分, p1和p2为不同区制对应的估计系数值。其中,不同区制的探讨主要包含不同发展程度和不同地理区位两个方面。 两区制空间杜宾模型.png

1.png 2.png 3.png 4.png
二维码

扫码加我 拉你入群

请注明:姓名-公司-职位

以便审核进群资格,未注明则拒绝

全部回复
2024-7-22 20:38:44
二维码

扫码加我 拉你入群

请注明:姓名-公司-职位

以便审核进群资格,未注明则拒绝

2024-11-7 10:03:01
stata能处理两区制SDM吗?
二维码

扫码加我 拉你入群

请注明:姓名-公司-职位

以便审核进群资格,未注明则拒绝

2024-11-8 10:41:43
伊布张燕 发表于 2024-11-7 10:03
stata能处理两区制SDM吗?
不行的哈
二维码

扫码加我 拉你入群

请注明:姓名-公司-职位

以便审核进群资格,未注明则拒绝

2024-12-23 11:22:59
函数或变量 'quzhi' 无法识别。

出错 demo_quzhi (第 41 行)
[output_result] = quzhi(XX,WW,N,T,y1,x1,did,info);
二维码

扫码加我 拉你入群

请注明:姓名-公司-职位

以便审核进群资格,未注明则拒绝

2024-12-23 23:28:06
cool_fox 发表于 2024-12-23 11:22
函数或变量 'quzhi' 无法识别。

出错 demo_quzhi (第 41 行)
你没设置工作路径,你看看视频哦,有个步骤你没做哈
二维码

扫码加我 拉你入群

请注明:姓名-公司-职位

以便审核进群资格,未注明则拒绝

点击查看更多内容…
相关推荐
栏目导航
热门文章
推荐文章

说点什么

分享

扫码加好友,拉您进群
各岗位、行业、专业交流群