全部版块 我的主页
论坛 提问 悬赏 求职 新闻 读书 功能一区 经管文库(原现金交易版)
962 2
2024-07-26
国际化速度
国际化经营速度
国际化节奏

持续更新,后续关注我后免费获取更新版本
不管什么时候毕业或者发期刊用到,都能用到最新的数据

【原创整理,严禁转载,转载必究】


参考文献

[1]钟熙,宋铁波,陈伟宏,翁艺敏.外资持股、期望落差与企业国际化进程[J].管理评论,2021,33(08):245-255.
[2]任鸽,陈伟宏,钟熙.高管国际经验,环境不确定性与企业国际化进程[J].外国经济与管理, 2019(9):13.
[3]林川,高福霞.外籍高管与国有企业国际化经营[J].软科学,2021,35(07):72-77.
[4]代彬,邓楠.资本市场开放与企业国际化战略[J].河海大学学报(哲学社会科学版),2022,24(01):75-82.

计算说明

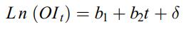
国际化速度(SPEED)。借鉴Chen等的研究,本文以五年内企业海外销售收入的平均增长率衡量企业国际化速度。具体地,本文在窗口期[t,t+4] 内建立年度时间(t)与海外销售收入(OI)之间关系的线性回归模型,如公式(1)所示,并以回归系数b2的反自然对数衡量国际化速度,该数值越大,则说明企业国际化速度越快。

23475937fksuzjjdfjwbiz.jpg



国际化节奏(RHYTHM)。同样借鉴Chen等、Shi和Prescott的研究,本文以五年内企业海外销售收入增长率的变动情况衡量企业国际化节奏。具体地,与计算国际化速度的方法类似,本文以公式(1)中回归系数b2的标准偏差的反自然对数衡量企业的国际化节奏,该数值越大,则说明企业国际化节奏越不规律。



数据说明

样本选择:全部A股2000-2023年数据(计算结果为2000-2019年)

对最终结果进行了1%和99%分位数的缩尾处理

每个压缩包都附有初始数据,计算代码,参考文献和最终数据

包含两个版本:一份未剔除 、一份剔除金融和ST

注:提供了剔除所需数据和剔除代码,若无需做该项剔除处理,自行删除相关代码重新运行即可

行业参照证监会2012年行业分类标准,制造业用二级行业分类,其他用一级分类来计算

并对连续型变量进行了1%和99%分位数的缩尾处理

每个压缩包都附有初始数据,计算代码,参考文献和最终数据



赠送超值上市基本信息:
证券代码、统计截止日期、上市公司ID、证券简称、ABH股交叉码、行业名称、行业代码、中文全称、公司成立日期、首次上市日期、法人代表、注册资本、公司网址、经营范围、主营业务、上市状态、注册具体地址、注册地址所属省份、注册地址所属城市、注册地经度(E)、注册地纬度(N)、公司办公地址、办公地址经度、办公地址纬度、办公地址邮政编码等。


数据截图
QQ截图20240726160036.jpg


分年份数据量统计
QQ截图20240726160016.jpg

缩尾后的描述性统计

QQ截图20240726160030.jpg
QQ截图20240726160238.jpg


二维码

扫码加我 拉你入群

请注明:姓名-公司-职位

以便审核进群资格,未注明则拒绝

全部回复
2024-9-9 16:28:40
购买后数据只到2019年啊,麻烦楼主把更新的发一下啊
二维码

扫码加我 拉你入群

请注明:姓名-公司-职位

以便审核进群资格,未注明则拒绝

2024-9-10 16:30:09
guanchangduan 发表于 2024-9-9 16:28
购买后数据只到2019年啊,麻烦楼主把更新的发一下啊
您好,样本选择:全部A股2000-2023年数据(计算结果为2000-2019年)
因为是到t+4年进行计算的
二维码

扫码加我 拉你入群

请注明:姓名-公司-职位

以便审核进群资格,未注明则拒绝

相关推荐
栏目导航
热门文章
推荐文章

说点什么

分享

扫码加好友,拉您进群
各岗位、行业、专业交流群