【原创整理,严禁任何团队和个人转载获利,转载必究!】
         制造业出口技术复杂度是近年来研究的热点方向之一,将制造业出口技术复杂度与企业创新、投资效率、冗余管理等领域问题的实证研究更是如日中天。附件内为自用整理、严谨测度、多重校验的2010-2023我国30省直辖市制造业出口技术复杂度数据合集!本数据集基于我国30个省、直辖市的面板数据,对各省份制造业出口复杂度进行测算。涵盖低技术、中技术、高技术制造业出口技术复杂度数据,可直接用于做行业异质性分析,以及我国30个省、直辖市整体出口技术复杂度的最终测度指标,为已整理好的面板数据格式,可直接匹配用于回归分析!本数据集研究价值较高,一个数据集将制造业出口技术复杂度研究所需数据一网打尽!
          本数据集过多次校验,由本人及所在课题组自用整理并提供售后咨询服务,欢迎大家私信交流!  
          本团队分享的所有原创自用数据都会及时更新,点击关注我,即可第一时间免费获取后续更新数据!购买则一份数据即可满足您不同时期的数据需求,充分节约您的宝贵时间!充分节约您的时间与精力!
【温馨提示】本人及所在团队致力于向大家分享高质量、科学准确的科研数据,长期以来好评如潮,数据质量有目共睹。近期发现论坛上出现部分账号倒卖本账号分享的原创数据,甚至连数据介绍文案都原封不动抄袭,查重率100%,实在令人不齿(在此就不一一点名,我们将保留追究其责任的权利。连文案都要抄袭,数据质量如何令人信服?)。作为论坛首批原创数据分享者,我们深知一份好数据对学术研究的重要性,我们在论坛此唯一账号,其他类似账号均为假冒,请大家注意甄别,其他渠道购买将无法获得质量保证与售后服务,批量购买欢迎私信联系,可享受优惠。
           附件内所有文件均包括excel、dta格式面板数据,无偿赠送您非常详细的参考文献原文(均为C刊的高被引文献!!)、指标测算过程公式、原始数据(包括手工收集整理的我国30省、直辖市农副产品加工业、 纺织、木材加工、家具制造、造纸及纸制品、石油与煤炭、化工原料、医药、橡胶和塑料、非金属矿物与黑色金属冶炼等16个制造业分行业出口额的所有原始数据,指标构建所需的各个变量都可直接查到,指标来源有依据,充分保证数据真实性、准确性,绝对同于市面上其他粗制滥造数据!!)以及数据来源说明文件!本数据集适用于所有涉及制造业出口技术复杂度方向的实证研究与理论分析,更是非常适合在此基础上进行拓展研究,能够帮助大家高效上手,完成科研任务!   
                    本数据集来源正规,由我手动收集、整理,与同门多次核对,观测值数量全面,市面上的制造业出口技术复杂度相关数据,年份较短(大部分只到2022年),还有人用插值法拟合,错误值太多,此数据集更新到2023年,观测值无误差,亲测效果良好,不含拟合处理,均为来自数据库的原始数据!
附件内容简介:
1、2010-2023我国30省直辖市制造业出口技术复杂度数据:本数据集基于我国30个省、直辖市的面板数据,对各省份制造业出口复杂度进行测算。涵盖低技术、中技术、高技术制造业出口技术复杂度数据,可直接用于做行业异质性分析,以及我国30个省、直辖市整体出口技术复杂度的最终测度指标,为已整理好的面板数据格式,可直接匹配用于回归分析!
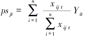
指标测度方法说明:在Hausmann测算出口复杂度的基础上,同时借鉴权威文献做法,采用人均地区生产总值的加权平均去代替国家层面人均生产总值的加权平均,对各省份制造业出口复杂度进行测算。具体测算过程如下:
先测算各制造业分行业的出口复杂度(PS),由该行业下所有省份的人均地区生产总值加权得到:
 
i代表省份,j代表分行业,t代表时间,i=1,2,…,31;j=1,2,…,21;t=1,2,…,10。psjt代表j类制造业分行业第t年的出口复杂度,xijt为i省份j类制造业分行业第t年的出口额。
 为i省份出口的j类制造业分行业第t年在我国制造业出口总额中所占比重,Yit为i省份第t年的人均地区生产总值。
为i省份出口的j类制造业分行业第t年在我国制造业出口总额中所占比重,Yit为i省份第t年的人均地区生产总值。
第二步测算i省份的制造业出口复杂度(ES):
 
 为第t年j类制造业分行业出口占i省份制造业出口总额中的比重,ESit表示i省份第t年的制造业出口复杂度。
为第t年j类制造业分行业出口占i省份制造业出口总额中的比重,ESit表示i省份第t年的制造业出口复杂度。
16个制造业分行业分别为:农副产品加工业、 纺织、木材加工、家具制造、造纸及纸制品、石油与煤炭、化工原料、医药、橡胶和塑料、非金属矿物与黑色金属冶炼、通用设备制造、汽车制造、铁路船舶、电器机械、其他制造业。
低技术制造业:主要包括纺织业、食品制造业、农副食品加工业等;
中技术制造业:要包括非金属矿物制品业、金属制品业等资本密集型产业;
高技术制造业:主要包括汽车制造业、计算机、通信和电子设备制造业等产业。
篇幅限制无法展示详细的指标体系说明与测算方法,您如有疑惑可私信我,我将及时回复!
2、2010-2023我国30省直辖市制造业出口技术复杂度原始数据:包括我国30省、直辖市农副产品加工业、 纺织、木材加工、家具制造、造纸及纸制品、石油与煤炭、化工原料、医药、橡胶和塑料、非金属矿物与黑色金属冶炼等16个制造业分行业出口额的详细数据!
点击下方链接购买:
数据来源:官方途径手动整理而成,本数据集为课题组自用数据,经过我和同门师兄妹多次人工审核、校对;同时,数据的处理过程也咨询了我的导师,请大家放心使用,承诺良心数据!
           欢迎大家购买,收集整理这份数据的成本远超售价!请大家支持原创,请勿转卖!
          目前我应用经济学博士在读,如您有更具体的数据需求,请私信我详细说明,如有数据定制需求,可直接私信,我将秉持着严谨、科学的研究态度为您提供满意的数据服务。我所售数据均为承诺售后服务的,所有论坛私信都会及时回复,您在使用本数据集的过程中有任何疑问可随时联系,帮助大家到满意为止!如有任何疑问,欢迎私信沟通,恭候您的数据需求!