全部版块 我的主页
论坛 提问 悬赏 求职 新闻 读书 功能一区 经管文库(原现金交易版)
2523 4
2024-09-07
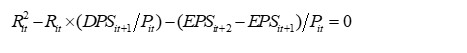
        权益资本成本(2007-2023):提供了常用的四种模型GLS模型(分别使用Python和Matlab的fsolve方法求解)、PEG模型、MPEG模型、OJ模型下的计算结果。包括原始数据及其处理、计算过程。所以可以自行拓展样本时间范围。以上四个模型所需数据整理方法和细节参考文献:Gebhardt W., Lee C., Swaminathan B. Towards an Implied Cost of Capital[J]. Journal of Accounting Research, 2001, 39(1) : 135-176 具体如下:
GLS模型
GLS.jpg

x1.jpg


x2.jpg



OJ模型
Snipaste_2024-09-07_17-55-23.jpg

oj.jpg


PEG模型
PEG.jpg
变量的含义和计算方法同上

MPEG模型
MPEG.jpg
这是一个关于权益资本成本R的一元二次方程,取正实根即可。
----------------------------------------------------------------------------------------------------------------------------------------------------------

数据所包含的资料
92ff12042a917fcfec8e9f391bbd80a.jpg

----------------------------------------------------------------------------------------------------------------------------------------------------------
最终结果的描述性统计
d1a0369b1b831219655ab993bab1f86.jpg

--------------------------------------------------------------------------------------------------------------------------------------------------
最终文件REData.data所包含的变量(可以通过Code和Year与数据匹配)
1.jpg 2.jpg 9272d80caea63f7dace7dd6a40529b5.jpg

购买链接:




附件列表
9272d80caea63f7dace7dd6a40529b5.jpg

原图尺寸 24.17 KB

9272d80caea63f7dace7dd6a40529b5.jpg

2.jpg

原图尺寸 27.06 KB

2.jpg

x1.jpg

原图尺寸 188.49 KB

x1.jpg

x1.jpg

原图尺寸 187.43 KB

x1.jpg

二维码

扫码加我 拉你入群

请注明:姓名-公司-职位

以便审核进群资格,未注明则拒绝

全部回复
2024-9-8 13:39:06
谢谢分享!
二维码

扫码加我 拉你入群

请注明:姓名-公司-职位

以便审核进群资格,未注明则拒绝

2024-9-9 08:50:17
谢谢分享!
二维码

扫码加我 拉你入群

请注明:姓名-公司-职位

以便审核进群资格,未注明则拒绝

2025-10-2 18:53:00
谢谢分享
二维码

扫码加我 拉你入群

请注明:姓名-公司-职位

以便审核进群资格,未注明则拒绝

2025-12-2 14:38:16
可以从里面筛选出美国制造业的数据吗?急
二维码

扫码加我 拉你入群

请注明:姓名-公司-职位

以便审核进群资格,未注明则拒绝

相关推荐
栏目导航
热门文章
推荐文章

说点什么

分享

扫码加好友,拉您进群
各岗位、行业、专业交流群